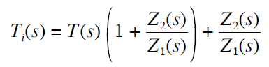
电流注入法
上一小节的结论也可以通过电流注入的方式类似地得到,如图1所示,用电流探头测量 和 ,电流注入法测量的增益为

同样可以得到

因而
Ti(s) ≈ T (s),
条件为
1)||Z2|| << ||Z1||,
2)|| T (s)|| >> ||Z2(s) / Z1(s)||

图1 电流注入法测量环路增益
因此,为了通过电流注入获得精确的环路增益,我们必须在网络中找到一个使得网络块2具有足够小的输入阻抗的点。再次注意,注入源阻抗Zs,不影响测量。事实上,我们可以利用图2所示的戴维南等效源来分析iz。环路分析仪注入源由电压源vz和输出电阻表示,插入串联电容Cb,避免干扰输入点的直流偏置。

图2 电流注入时的戴维南等效源
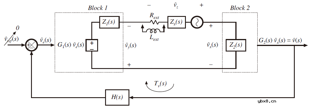
不稳定系统的测量
当原型反馈系统不稳定时,我们有时更有必要测量环路增益——以找出出错的地方。但是,当系统振荡时,无法进行测量。我们需要使系统趋于稳定,同时测量原始的不稳定环路增益。注入源阻抗Zs不影响被测环路增益,这使得我们有办法达到测量不稳定环路增益的目的。如图3所示,我们可以增加外部电阻Rext来有效地增加源阻抗Zs,而此时被测环路增益Tv(s)不受影响。
增加串联阻抗会降低系统的环路增益,使得截止频率频率降低同时获得更大的正相量裕度。因此,通常可以添加一个足够大的电阻Rext来稳定系统。此时式环路增益T(s)继续近似等于原始的不稳定环路增益。为了避免干扰直流偏置条件,可能需要用电感Lext绕过Rext,如果电感值足够大,则不会影响修正后系统的稳定性。

图3 电压注入法测量不稳定系统的环路增益
为什么需要MOSFET栅极电阻?MOSFET栅极电阻...
时间:2026-03-05
NTC/PTC/CTR热敏电阻是什么?热敏电阻的使用...
时间:2026-03-05
解析单电阻采样的原理以及注意点
时间:2026-03-05
共源极放大器的设计方法
时间:2026-03-05
关于STM32WL LSE 添加反馈电阻后无法起振的...
时间:2026-03-05
如何直观地判断两级放大器的零点位置呢?
时间:2026-03-05
时序分析基本概念介绍<wire load model&...
时间:2026-03-05
电子元器件解析—电阻
时间:2026-03-05
3PEAK高压零漂放大器契合精密应用
时间:2026-03-05
助力绿色5G数字式电流和功率监测芯片-TPA62...
时间:2026-03-05
电阻的标称阻值和允许偏差
时间:2026-03-05
零欧电阻的功能
时间:2026-03-05
PPTC热敏电阻在电池中的应用
时间:2026-03-05
水泥电阻规格及型号
时间:2026-03-05
气敏电阻的型号命名方法是怎样的
时间:2026-03-05
国巨片式电阻缺货涨价之应对方案 你要知道电...
时间:2026-03-05
RI-80F型高压高阻玻璃釉膜电阻分压器
时间:2026-03-05
电阻器的分类
时间:2026-03-05
电阻的额定功率
时间:2026-03-05
电阻的高频特性
时间:2026-03-05