3.3 变压器漏感对整流电路的影响
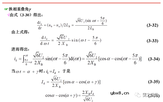
在单相可控整流电路和三相可控整流电路的基础讲解中,为了理解的方便性,都忽略了变压器漏感对整流电路的影响。实际上,在相控整流电路中,变压器绕组总有漏感,该漏感可用一个集中的电感表示,并将其折算到变压器的二次侧。由于电感对电流的变化起阻碍作用,电感电流不能突变,因此换相过程不能瞬间完成,而是会持续一段时间,考虑变压器漏感对整流电路的影响,必要且符合电路实际。相关分析方法对后续的有源逆变电路也有支撑作用。换流、环流、换相重叠、换相重叠角、换相压降等概念必须掌握牢固,换相重叠角和换相压降的计算须掌握。能够总结变压器漏感对整流电路的影响,并通过例题分析计及变压器漏感的整流电路分析,加强对知识的理解。








3.4 电容滤波的不可控整流电路
电容滤波的不可控整流电路主要有单相不可控整流电路和三相不可控整流电路,电路中的电力电子器件采用整流二极管,称为二极管整流电路。电路应用于交—直—交变频器、不间断电源、开关电源等场合。工作原理、波形分析和公式推导是难点,需要数学和电路分析基础作为支撑。












分享19个典型二极管应用电路
时间:2026-03-07
常规二极管与肖特基二极管之间的差异
时间:2026-03-07
二极管的基础知识
时间:2026-03-07
一文详解变压器的连接方法和联结组别
时间:2026-03-07
变压器的作用、原理及分类
时间:2026-03-07
过零触发调功器电路原理图
时间:2026-03-07
电饭煲功率自动调节器电路原理图
时间:2026-03-07
双向可控硅与单结晶管构成控制电路
时间:2026-03-07
带开关的调速器电路图
时间:2026-03-07
电热淋浴器水温水位控制电路
时间:2026-03-07
玻璃釉电容器的结构与特点
时间:2026-03-05
电容器入门教程
时间:2026-03-05
关于STM32WL LSE 添加反馈电阻后无法起振的...
时间:2026-03-05
暑期买元器件下单立减还送华为P30pro
时间:2026-03-05
电阻的标称阻值和允许偏差
时间:2026-03-05
使用过滤器电容器和诱导器来抑制受辐射的EM...
时间:2026-03-05
LED固晶机龙头直面“寒冬”
时间:2026-03-05
浅谈高压贴片电容分类与性能参数
时间:2026-03-05
聚四氟乙烯电容器的结构与特点
时间:2026-03-05
漆膜电容器的结构与特点
时间:2026-03-05