高比例可再生能源并网的电力系统中,波动电源和负荷不确定性双重叠加,采用增加备用应对不确定性的模式在技术和经济上均难以为继,亟待建立一种新的灵活性平衡机制。然而,电力系统的安全、可靠、灵活、经济四个基本特性中,灵活性一直难于量化。高比例可再生能源接入电力系统后,灵活性成为系统运行特性的核心和关键。
已有学者开展电力系统灵活性机理和评价相关研究,主要着眼于解决新能源消纳等工程目标,仍然存在若干基础理论问题没有解决。电力系统灵活性具有方向性、概率性、多时空尺度特性、状态相依性和双向转化特征,现有研究仅就其中某一个或几个特性展开,难以体现其多特性耦合的复杂特点。基于以上背景,本文探讨能有效解决上述问题的方法。
随着并网可再生能源比例增加,电力系统不确定性增加,电力系统的灵活性平衡方法亦随之变化。在高比例可再生能源系统中,源荷双波动源导致灵活性需求剧增,而部分常规电源被可再生能源替代进一步减少了灵活电源,单纯靠备用电源保障系统安全成本昂贵且不可行,即传统电源跟踪负荷波动的单向运行规则局部时段局部地区不再具有工程可行性,因此必须充分挖掘源网荷各个环节的调节潜力参与平衡,并还原到不确定性分析方法,建立灵活性需求与供给的平衡,这是一种源网荷互动参与的新平衡原理。本文围绕含高比例可再生能源的电力系统灵活性供需平衡机理开展,基于概率模型提出了多时间尺度灵活性供给–需求平衡的通用数学方法和灵活性度量指标。
1)首先给出了电力系统灵活性平衡定义:系统在任何时刻、任一时间尺度下及任何方向上,各类资源的灵活性供给相对于灵活性需求的充裕程度超过允许水平。数学形式如式(1)所示。
(1)提出了电力系统灵活性度量指标,如表1所示。

提出了电力系统灵活性度量指标,如表1所示。

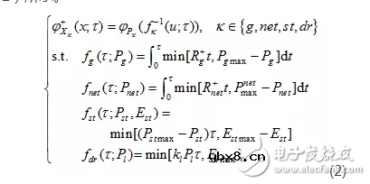
2)基于生产模拟结果,建立了运行点相依的灵活性资源供给概率分布模型,模型可考虑源、网、荷、储各环节的灵活性资源特性。以上调灵活性为例,系统多时间尺度灵活性供给模型如式(2)所示。

(2)图1以常规电源上调灵活性为例,展示了式(2)的逐点映射(机组出力→灵活性供给)转化过程。

系统灵活性供给、需求和充裕度概率密度函数计算如式(3)所示。

3)本文根据不同灵活性资源的作用效果,提出了曲线平移、曲线整形及综合3类调节机理,图2给出了三类灵活性调节机理示意图。

4)算例仿真验证本文所提模型与方法的正确性和有效性。
表2所示为系统灵活性指标及失负荷电量、可再生能源限电量。从结果数据可以看出,指标的指示性明显,灵活性不足期望与系统失负荷量、新能源限电量呈近似线性关系。从而证明了本文所提指标和算法的有效性。

5)灵活性资源规划研究。考虑储能设备、灵活机组、电锅炉等3类灵活性资源(均为5000MW),以下调灵活性为例,计算各类资源对系统灵活性的影响,计算结果如表3所示。

可以看出,各种单一手段对系统灵活性虽有提升,但是均无法完全消除系统的灵活性不足,在实际灵活性规划中,需要采用多种手段的组合,才能全面消除系统的灵活性不足现象。
灵活性平衡机理和定量评价是高比例可再生能源并网电力系统的重要理论基础。仿真分析表明,本文提出的灵活性指标能够与负荷损失风险、新能源限电建立明确的物理关联;本文所提模型能够快速对各类灵活性资源的成本效益进行量化分析,从而可充分挖掘源–网–荷–储等各环节资源来满足灵活性要求。本文未来研究方向是将机理模型应用到电力系统规划中,构建满足系统灵活性水平要求的最优资源组合。
相关热词:#智能电网
为什么需要MOSFET栅极电阻?MOSFET栅极电阻...
时间:2026-03-05
NTC/PTC/CTR热敏电阻是什么?热敏电阻的使用...
时间:2026-03-05
解析单电阻采样的原理以及注意点
时间:2026-03-05
共源极放大器的设计方法
时间:2026-03-05
关于STM32WL LSE 添加反馈电阻后无法起振的...
时间:2026-03-05
如何直观地判断两级放大器的零点位置呢?
时间:2026-03-05
时序分析基本概念介绍<wire load model&...
时间:2026-03-05
电子元器件解析—电阻
时间:2026-03-05
3PEAK高压零漂放大器契合精密应用
时间:2026-03-05
助力绿色5G数字式电流和功率监测芯片-TPA62...
时间:2026-03-05
未来什么技术占主流?会是区块链吗?
时间:2026-03-05
浅谈区块链下的智能合约
时间:2026-03-05
浅显易懂地揭开.Net生态系统的神秘面纱!
时间:2026-03-05
对技术的执着和美的追求变成了程序员的“诗...
时间:2026-03-05
什么是区块链技术_区块链技术解析
时间:2026-03-05
脑洞大开:玻璃窗也能发电?
时间:2026-03-05
如何布置无人值守变电站?
时间:2026-03-05
SCADA系统懂多少?
时间:2026-03-05
灰尘对光伏电站效率影响究竟多大
时间:2026-03-05
一种基于Agent的智能电网集成优化控制策略
时间:2026-03-05