双t选频网络正弦波发生器
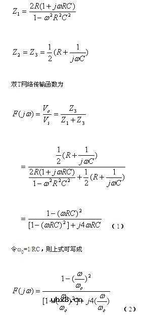
把双T网络并接在具有正反馈的运算放大器的负反馈回路中,便构成双T选频网络正弦波发生器,其电路如图1所示。由图可知,两个T型网络分别由R、R、2C和C、C、R/2所构成。利用星形电路与三角形电路互相转换的方法,可将双T网络简化成图2所示的等效电路。



在图1所示电路中,双T网络并接于运放A的反相输入端与输出端之间,对ω=ω0之外的其它频率分量产生较强的负反馈,足以抵消由正反馈网络Rf1、Rf2引入的正反馈量;而对于ω=ω0的频率分量,负反馈极弱,而Rf1、Rf2引入的正反馈量足够使电路振荡于ω0上,输出频率 fo=1/2πRC的正弦信号。为了稳定振荡信号的幅度,Rf1或Rf2应选用特性合适的非线性元件。
应该特别指出的是,上述分析结果是在R、C参数值完全对称的条件下获得的,如果参数值不对称,例如仅将电阻R/2的取值减小,则双T的网络的相频特性便会发生明显变化,在ω=ω0处,将


相关热词:#选频网络
为什么需要MOSFET栅极电阻?MOSFET栅极电阻...
时间:2026-03-05
NTC/PTC/CTR热敏电阻是什么?热敏电阻的使用...
时间:2026-03-05
解析单电阻采样的原理以及注意点
时间:2026-03-05
共源极放大器的设计方法
时间:2026-03-05
关于STM32WL LSE 添加反馈电阻后无法起振的...
时间:2026-03-05
如何直观地判断两级放大器的零点位置呢?
时间:2026-03-05
时序分析基本概念介绍<wire load model&...
时间:2026-03-05
电子元器件解析—电阻
时间:2026-03-05
3PEAK高压零漂放大器契合精密应用
时间:2026-03-05
助力绿色5G数字式电流和功率监测芯片-TPA62...
时间:2026-03-05
彩灯电路
时间:2026-03-05
三相异步电动机原理
时间:2026-03-04
转角测量电路
时间:2026-03-05
经典的正弦波发生电路
时间:2026-03-05
电度表的工作原理
时间:2026-03-04
电动机单线远程正反转控制电路图
时间:2026-03-04
三相异步电动机的拆装详讲
时间:2026-03-04
三相异步电动机的七种调速方式
时间:2026-03-04
USB转232电路图
时间:2026-03-04
沈乐满SR-5燃气热水器原理图
时间:2026-03-05