当前位置:首页 > 电工问答 > 正文

如何设计室内双锥同轴馈电形式的吸顶天线

来源:网络  发布者:电工基础  发布时间:2026-03-05 08:21
  室内的移动通信一般采用室内分布式系统来覆盖,如宾馆、办公室、电影院、住宅等地方,吸顶天线具有外形美观,可以作为室内装饰物,而且它的功率还很小。他广泛应用在室内移动通信系统中,实现室内信号的覆盖

  室内的移动通信一般采用室内分布式系统来覆盖,如宾馆、办公室、电影院、住宅等地方,吸顶天线具有外形美观,可以作为室内装饰物,而且它的功率还很小。他广泛应用在室内移动通信系统中,实现室内信号的覆盖和信息传输。

  随着全球信息化的快速发展,室内天线覆盖也在不断地改进,来满足日益密集的室内空间对信号强度和质量的需求。

  本文提出了一种基于同轴馈电微带天线的室内移动通信设计,在吸顶天线的基础上,优化天线的性能,完成信号的收发和速度的平滑处理。通过设置天线的物理特性,获得更多的增益,提升其发射性能,且不需要在电流上做更多复杂的处理。HFSS的仿真数据表明,该设计可以在4.0GHz的工作频率上得到更多的增益,也有各自的全方向半功率波束宽度。

  

如何设计室内双锥同轴馈电形式的吸顶天线

  吸顶天线可以追溯到1973年R.E.Munson提出的微带天线单元设计和1974年J.Q.Howell研究设计的基本矩形微带贴片天线。到现在,吸顶天线已经有大量的在室内信号传输方面的应用。一般的室内吸顶天线,白色向下的帽是天线体,往外辐射信号;向上弯曲的绳子是馈线,把信号从移动基站引入到天线。按照国家标准,在宽频带内工作的天线,其驻波比指标为VSWR≤2,当然,能达到VSWR≤1.5更好。

  传统的双锥天线,削弱其终端反射的影响可以确保天线的电流分布,只有在一定长度的馈电点,才存在有效电流影响天线的辐射特性和阻抗特性。部分天线的参数会随着天线的延伸而快速衰减,使得天线类型和天线阻抗取决于有效相关电流的长度,而不影响扩展长度的协议。因此,天线的实际长度不会改变。在工作频率、有效面积对天线性能有显著影响的同时,也会适应频率的变化。这是符合宽频带工作天线的设计要求的。

  本文在天线设计的基础上,对其进行优化设计,基于传输和天线模型,设计了同轴馈电天线,主要采用上下椎体和透射线结构。通过调整锥形的开口角度来提高天线的驻波比,使其能在宽频带中工作;通过控制天线的辐射方向,从而简单地调整上下椎体的不对称;最后通过HFSS仿真,验证了优化设计参数的有效性。

  1 设计过程

  电压驻波比(Voltage Standing-Wave Ratio,VSWR)[6]通过调整上下椎体的角度,其特性阻抗、天线的辐射模式也将得到相应的调整。除此之外,我们还要改进新的结构参数和补偿方法。设计吸顶天线的端口特性阻抗为50 ,模式全方位,电压驻波比小于2,宽带频率范围且中心频率约为4GHz的吸顶天线,能够有效的减少反射。确定合适的锥角,以实现宽频带,高增益和全方位。

  

如何设计室内双锥同轴馈电形式的吸顶天线

  1.1 锥角优化

  理论上讲,在锥角较大,尤其是接近90°时,输入阻抗与特性阻抗越接近,其输入电抗将接近于零。但通过实际的仿真和实验,证明锥角为60°时空间辐射的增益最优,能够实现最好的宽带特性。然而在本文中,为了确保双锥形天线具有良好的全向特性,我们将双锥形设计为高度相同、开口的底部直径相同,并与同轴传输线连接,锥体的开口角度稍减小,不再是60°。

  1.2 传输线的选择

  根据全向吸顶天线的设计要求,我们选择同轴电缆作为波导传输线。由于选择的天线是上下双锥结构,是典型的双导体同轴传输系统,主要传输TEM波。要使设计天线工作在宽频带,且能够传输TEM波,能够实现TE、TM波的混合和复杂处理,同轴电缆完全符合设计要求。

  1.3 特性阻抗的分析

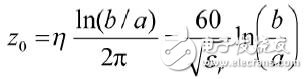
  在以上的选择设计前提下,同轴传输线有:

  

如何设计室内双锥同轴馈电形式的吸顶天线

 (1)

  上式中,a和b分别是同轴的芯半径和整体的半径, ε为相对介电常数。根据同轴电缆的规格,当同轴线的内外半径比例达到1.65,同轴电缆将达到最大传输功率。当比例达到3.1时,同轴电缆达到最佳电压穿透率。当我们设定负载的输入阻抗为50Ω,此时内外半径之比值为3.1,我们选用同轴的芯半径为0.255mm,外半径为0.835mm与之匹配。

  1.4 同轴电缆长度的确定

  由设计要求,同轴电缆长度参数曲线如图1,综合分析回波损耗、电压驻波比,增益、阻抗匹配及输入阻抗,最佳的同轴电缆长度应为15mm。

  

如何设计室内双锥同轴馈电形式的吸顶天线

  2 天线性能与仿真分析

  为了模拟和分析各种参数的双锥吸顶天线的性能,我们使用HFSS三维电磁仿真软件,主要针对回波损耗、驻波比、Smith圆图、输入阻抗等性能,仿真结果如图2~图5。

  2.1 回波损耗

  由图2可知,天线设计围绕的中心频率约为4GHz,且回波损耗小于15dB,达到了中心频率的技术要求。

  

如何设计室内双锥同轴馈电形式的吸顶天线

  2.2 电压驻波比

  由图3可以看出,在中心频率为4GHz时,电压驻波比达到1.4,而VSWR≤2.0的带宽达到800MHz(3.7GHz~4.5GHz),相对带宽约为20%,符合宽频带工作天线电压驻波比小于2.0的要求。

  

  2.3 Smith圆图

  由图4可知,双锥吸顶天线的阻抗匹配是可以实现的。当中心频率为4GHz时,其归一化阻抗约为1。

  2.4 输入阻抗

  

如何设计室内双锥同轴馈电形式的吸顶天线

  输入阻抗是阻抗匹配的关键,由于传输线和其他电子线路如输入端口阻抗,其本质上是等效阻抗,因此我们可以将天线的输入阻抗通过HFSS直接表现出来。由图5可知,在中心频率为4GHz的室内天线设计中,输入阻抗约为(59-j17) ,比较接近理论分析,而且更容易匹配,同时也满足50 的输入阻抗要求。

  

如何设计室内双锥同轴馈电形式的吸顶天线

  2.5 模式

  天线方向图是方向函数的图形表示,它用来描述天线辐射特性随着空间方向坐标的变化,辐射特性有辐射强度、场强、相位和极化,通常在远场半径为常数的大球面上讨论。天线辐射(接收)的功率或场强随位置方向坐标的变化规律,分别称为功率方向图或场强方向图。在定义辐射表面的基础上,利用HFSS软件进行仿真,E面、H面和3D方向图分别如图6和图7所示。

  由3D仿真图可以看出,设计在各个方向的增益都是最强的,基本满足天线全向性的设计要求。

  3 结论

  本文提出了一种新型同轴馈电微带的设计,在传统天线的基础上,进行锥角优化、天线选择、特性阻抗分析,选择同轴设计的长度和形状优化,并通过HFSS进行模拟仿真。设计结果表明,优化后的同轴馈电微带天线可以满足4GHz的工作频率,天线达到最大增益时的驻波比为1.4,满足宽频带全向天线的设计要求。这种设计方式是天线设计的基础,在室内通信和定位领域上,具有很强的工程应用价值。