当前位置:首页 > 工控原理 > 正文

零知识证明中的libsnark源代码全面分析

来源:网络  发布者:电工基础  发布时间:2026-03-05 08:14
最近一个月发生好多事情。原有的合作关系的结束,新的合作关系的开始。创业变化就是快。期间,我也自己问自己,自己该何去何从?彷徨,犹豫,对未知的未来,我也不确定。但是,内心有种强烈的感觉,告诉自己,有想

最近一个月发生好多事情。原有的合作关系的结束,新的合作关系的开始。创业变化就是快。期间,我也自己问自己,自己该何去何从?彷徨,犹豫,对未知的未来,我也不确定。但是,内心有种强烈的感觉,告诉自己,有想法,就去干,保持好奇。也许,内心深处,总有一丝侥幸,万一能走出一条路呢。也许,真的就成了呢?

libsnark源代码,建议想深入零知识证明的小伙伴都读一读。Bellman库主要围绕Groth16算法,libsnark给出了SNARK相关算法的全貌,各种Relation,Language,Proof System。为了更好的生成R1CS电路,libsnark抽象出protoboard和gadget,方便开发者快速搭建电路。

本文中使用的libsnark源代码的最后一个commit如下:

commit 477c9dfd07b280e42369f82f89c08416319e24ae

Author: Madars Virza 《[email protected]

Date: Tue Jun 18 18:43:12 2019 -0400

Document that we also implement the Groth16 proof system.

1. 源代码目录

源代码在libsnark目录下:

零知识证明中的libsnark源代码全面分析

common - 定义和实现了一些通用的数据结构,例如默克尔树,稀疏向量等等。

relations - relation描述了“约束”关系。除了我们通常说的R1CS外,还有很多其他约束的描述语言。

reductions - 各种不同描述语言之间的转化。

knowledge_commit - 在multiexp的基础上,引入pair的概念,两个基点一个系数,计算结果称为一个pair。

zk_proof_systems - 零知识证明中的各种证明系统(包括Groth16,GM17等等)。

gadgetlib1/gadgetlib2 - 为了更方便的构建R1CS,libsnark抽象出一层gadget。已有的gadget,可以方便地整合搭建出新的电路。

2. Relation

需要零知识证明的问题都是NP问题。NP问题中有一类问题NPC(NP-complete)问题。所有的NP问题都可以转化为一个NPC问题。只要有一个NPC问题能多项式时间内解决,所有的NP问题都能多项式时间内解决。描述一个NPC问题,有多种方式。描述NPC问题的方式,称为“language”。Relation指的是一个NPC问题和该问题的解的关系。

libsnark库总结了几种描述语言:

·constraint satisfaction problem类

R1CS - Rank-1 Constraint System

USCS - Unitary-Square Constraint System

·circuit satisfaction problem类

BACS - Bilinear Arithmetic Circuit Satisfiability

TBCS - Two-input Boolean Circuit Satisfiability

·ram computation类

RAM是Random Access Machine的缩写。libsnark总结了两种RAM计算框架:

tinyRAM

fooRAM

· arithmetic program类

QAP - Quadratic Arithmetic Program(GGPR13)

SAP - Square Arithmetic Program(GM17)

SSP - Square Span Program (DFGK14)

先介绍实现各种语言中需要的“variable” (variable.hpp/variable.tcc),再详细介绍R1CS以及QAP语言。

2.1 variable

template《typename FieldT》

class variable {

public:

var_index_t index;

。..

};

varible的定义非常简单,描述一个variable,只需要记录一个varible对应的标号就行了。比如对应编号为index的variable,表示的是x_{index}变量。

2.2 linear_term

linear_term描述了一个线性组合中的一项。线性组合中的一项由变量以及对应的系数组成:

template《typename FieldT》

class linear_term {

public:

var_index_t index;

FieldT coeff;

。..

};

2.3 linear_combination

linear_combination描述了一个完整的线性组合。一个linear combination由多个linear term组成:

template《typename FieldT》

class linear_combination {

public:

std::vector《linear_term《FieldT》 》 terms;

。..

};

2.4 R1CS

R1CS定义在constraint_satisfaction_problems/r1cs/r1cs.hpp。R1CS约束就是满足以下形式的一个表达式:

《 A , X 》 * 《 B , X 》 = 《 C , X 》

X是所有变量组合的向量,A/B/C是和X等长的向量。《,》代表的是点乘。一个R1CS系统由多个R1CS约束组成。

R1CS约束定义为:

template《typename FieldT》

class r1cs_constraint {

public:

linear_combination《FieldT》 a, b, c;

。..

};

一个R1CS约束,可以由a/b/c三个linear_combination表示。 一个R1CS系统中的所有变量的赋值,又分成两部分:primary input和auxiliary input。primary就是“statement”, auxiliary就是“witness”。

template《typename FieldT》

using r1cs_primary_input = std::vector《FieldT》;

template《typename FieldT》

using r1cs_auxiliary_input = std::vector《FieldT》;

一个R1CS系统,包括多个R1CS约束。当然,每个约束的向量的长度是固定的(primary input size + auxiliary input size + 1)。

template《typename FieldT》

class r1cs_constraint_system {

public:

size_t primary_input_size;

size_t auxiliary_input_size;

std::vector《r1cs_constraint《FieldT》 》 constraints;

。..

}

2.5 QAP

QAP定义在arithmetic_programs/qap/qap.hpp。libsnark采用的QAP的公式是:A*B-C=H*Z。

template《typename FieldT》

class qap_instance {

private:

size_t num_variables_;

size_t degree_;

size_t num_inputs_;

public:

std::shared_ptr《libfqfft::evaluation_domain《FieldT》 》 domain;

std::vector《std::map《size_t, FieldT》 》 A_in_Lagrange_basis;

std::vector《std::map《size_t, FieldT》 》 B_in_Lagrange_basis;

std::vector《std::map《size_t, FieldT》 》 C_in_Lagrange_basis;

}

num_variables_表示QAP电路的变量的个数。num_inputs_表示QAP电路的“statement”对应变量的个数。degree_表示A/B/C中每个多项式的阶的个数(和电路的门的个数相关)。

domain是计算傅立叶变换/反傅立叶变换的引擎,由libfqfft库实现。

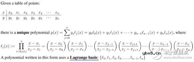
何为Lagrange basis?

零知识证明中的libsnark源代码全面分析

给定一系列的x和y的对应关系,通过拉格朗日插值的方式,可以确定多项式: p(x) = y_0l_0(x) + y_1l_1(x) + 。.. + y_nl_n(x) 其中l_0(x), l_1(x), 。.. l_n(x)就称为拉格朗日basis。

A_in_Lagrange_basis/B_in_Lagrange_basis/C_in_Lagrange_basis把一个电路中每个变量不同门的值整理在一起。举个例子,如下是x^3+x+5的电路对应的R1CS的约束:

零知识证明中的libsnark源代码全面分析

该电路对应的A_in_Lagrange_basis/B_in_Lagrange_basis/C_in_Lagrange_basis为:

零知识证明中的libsnark源代码全面分析

qap_instance描述的是一个QAP电路,A/B/C对应的多项式表达式(虽然是用Lagrange basis表示)。A/B/C多项式在一个点上的结果,用qap_instance_evaluation表示:

template《typename FieldT》

class qap_instance_evaluation {

private:

size_t num_variables_;

size_t degree_;

size_t num_inputs_;

public:

std::shared_ptr《libfqfft::evaluation_domain《FieldT》 》 domain;

FieldT t;

std::vector《FieldT》 At, Bt, Ct, Ht;

FieldT Zt;

。..

}

qap_instance_evaluation,记录了在t点上,A/B/C/H以及Z对应的值。

一个QAP电路,对应的primary/auxiliary,称为witness,定义为:

template《typename FieldT》

class qap_witness {

private:

size_t num_variables_;

size_t degree_;

size_t num_inputs_;

public:

FieldT d1, d2, d3;

std::vector《FieldT》 coefficients_for_ABCs;

std::vector《FieldT》 coefficients_for_H;

。..

}

coefficients_for_ABCs就是witness。为了计算的方便,同时给出了对应的H多项式的系数。 在给定一个qap_instance_evaluation和一个qap_witness的前提下,可以通过is_satisfied函数确定,是否witness合理:

template《typename FieldT》

bool qap_instance_evaluation《FieldT》::is_satisfied(const qap_witness《FieldT》 &witness) const

{

。..

ans_A = ans_A + libff::inner_product《FieldT》(this-》At.begin()+1,

this-》At.begin()+1+this-》num_variables(),witness.coefficients_for_ABCs.begin(),witness.coefficients_for_ABCs.begin()+this-》num_variables());

ans_B = ans_B + libff::inner_product《FieldT》(this-》Bt.begin()+1,

this-》Bt.begin()+1+this-》num_variables(),witness.coefficients_for_ABCs.begin(),witness.coefficients_for_ABCs.begin()+this-》num_variables());

ans_C = ans_C + libff::inner_product《FieldT》(this-》Ct.begin()+1,

this-》Ct.begin()+1+this-》num_variables(),witness.coefficients_for_ABCs.begin(),witness.coefficients_for_ABCs.begin()+this-》num_variables());

ans_H = ans_H + libff::inner_product《FieldT》(this-》Ht.begin(),

this-》Ht.begin()+this-》degree()+1,

witness.coefficients_for_H.begin(),

witness.coefficients_for_H.begin()+this-》degree()+1);

if (ans_A * ans_B - ans_C != ans_H * this-》Zt)

{

return false;

}

。..

}

检查一个witness是否正确,就是计算wA*wB-w*C = HZ是否相等。

3.Reduction

Reduction实现了不同描述语言之间的转化。libsnark给出了如下一系列的转化实现:

bacs -》 r1cs

r1cs -》 qap

r1cs -》 sap

ram -》 r1cs

tbcs -》 uscs

uscs -》 ssp

以r1cs-》qap为例,梳理一下Reduction的逻辑。从R1CS到QAP的转化逻辑在reductions/r1cs_to_qap/目录中,定义了三个函数:

3.1 r1cs_to_qap_instance_map

r1cs_to_qap_instance_map函数实现了从一个R1CS实例到QAP instance的转化。转化过程比较简单,就是将系数重新整理的过程(可以查看2.5中的QAP的描述)。

3.2 r1cs_to_qap_instance_map_with_evaluation

r1cs_to_qap_instance_map_with_evaluation函数实现了从一个R1CS实例到qap_instance_evaluation的转化。给定t,计算A/B/C以及H/Z。

3.3 r1cs_to_qap_witness_map

r1cs_to_qap_witness_map函数实现了从一个R1CS实例到qap_witness的转化。

template《typename FieldT》

qap_witness《FieldT》 r1cs_to_qap_witness_map(const r1cs_constraint_system《FieldT》 &cs,

const r1cs_primary_input《FieldT》 &primary_input,

const r1cs_auxiliary_input《FieldT》 &auxiliary_input,

const FieldT &d1,

const FieldT &d2,

const FieldT &d3)

在给定primary/auxiliary input的基础上,计算出witness(A/B/C以及H的系数)。d1/d2/d3在计算H系数提供扩展能力。Groth16计算的时候,d1/d2/d3取值都为0。 给定primary/auxiliary input,A/B/C的系数比较简单,就是primary/auxiliary input的简单拼接后的结果。

r1cs_variable_assignment《FieldT》 full_variable_assignment = primary_input;

full_variable_assignment.insert(full_variable_assignment.end(), auxiliary_input.begin(), auxiliary_input.end());

H多项式系数的计算相对复杂一些,涉及到傅立叶变换/反傅立叶变换。H多项式的计算公式计算如下: H(z) := (A(z)*B(z)-C(z))/Z(z)

其中,A(z) := A_0(z) + w_1 A_1(z) + 。.. + w_m A_m(z) + d1 * Z(z),B(z) := B_0(z) + w_1 B_1(z) + 。.. + w_m B_m(z) + d2 * Z(z),C(z) := C_0(z) + w_1 C_1(z) + 。.. + w_m C_m(z) + d3 * Z(z), Z(z) = (z-sigma_1)(z-sigma_2)。..(z-sigma_n)(m是QAP电路中变量的个数,n是QAP电路门的个数)。特别强调的是,A(z)/B(z)/C(z) 是多个多项式的和,并不是每个变量对应的多项式。

1/ 确定A和B的多项式(通过反傅立叶变换)

for (size_t i = 0; i 《 cs.num_constraints(); ++i)

{

aA[i] += cs.constraints[i].a.evaluate(full_variable_assignment);

aB[i] += cs.constraints[i].b.evaluate(full_variable_assignment);

}

domain-》iFFT(aA);

domain-》iFFT(aB);

2/ 计算A和B,对应FieldT::multiplicative_generator的计算结果

domain-》cosetFFT(aA, FieldT::multiplicative_generator);

domain-》cosetFFT(aB, FieldT::multiplicative_generator);

3/ 确定C的多项式(通过反傅立叶变换)

for (size_t i = 0; i 《 cs.num_constraints(); ++i)

{

aC[i] += cs.constraints[i].c.evaluate(full_variable_assignment);

}

domain-》iFFT(aC);

4/ 计算C,对应FieldT::multiplicative_generator的计算结果

domain-》cosetFFT(aC, FieldT::multiplicative_generator);

5/ 计算H,对应FieldT::multiplicative_generator的计算结果

for (size_t i = 0; i 《 domain-》m; ++i)

{

H_tmp[i] = aA[i]*aB[i];

}

for (size_t i = 0; i 《 domain-》m; ++i)

{

H_tmp[i] = (H_tmp[i]-aC[i]);

}

domain-》divide_by_Z_on_coset(H_tmp);

6/ 计算H多项式的系数(反傅立叶变换)

domain-》icosetFFT(H_tmp, FieldT::multiplicative_generator);

4. ZK Proof System

libsnark提供了四种证明系统:

·pcd (Proof-Carrying Data)

·ppzkadsnark (PreProcessing Zero-Knowledge Succinct Non-interactive ARgument of Knowledge Over Authenticated Data)

·ppzksnark (PreProcessing Zero-Knowledge Succinct Non-interactive ARgument of Knowledge)

·zksnark (Zero-Knowledge Succinct Non-interactive ARgument of Knowledge)

著名的Groth16算法,属于ppzksnark。因为Groth16在证明之前,需要预处理生成CRS。ppzksnark证明系统又可以细分成好几种:

零知识证明中的libsnark源代码全面分析

其中:

r1cs_gg_ppzksnark,gg代表General Group,就是Groth16算法。

r1cs_se_ppzksnark,se代表Simulation Extractable,就是GM17算法。

r1cs_ppzksnark,就是PGHR13算法。

以Groth16算法(r1cs_gg_ppzksnark)为例,梳理一下相关的逻辑。Groth16算法的相关逻辑在zk_proof_systems/ppzksnark/r1cs_gg_ppzksnark目录中。

4.1 r1cs_gg_ppzksnark_proving_key

r1cs_gg_ppzksnark_proving_key记录了CRS中在prove过程需要的信息。

template《typename ppT》

class r1cs_gg_ppzksnark_proving_key {

public:

libff::G1《ppT》 alpha_g1;

libff::G1《ppT》 beta_g1;

libff::G2《ppT》 beta_g2;

libff::G1《ppT》 delta_g1;

libff::G2《ppT》 delta_g2;

libff::G1_vector《ppT》 A_query;

knowledge_commitment_vector《libff::G2《ppT》, libff::G1《ppT》 》 B_query;

libff::G1_vector《ppT》 H_query;

libff::G1_vector《ppT》 L_query;

r1cs_gg_ppzksnark_constraint_system《ppT》 constraint_system;

。..

}

A_query是A(t)以G1生成元的multiexp的计算结果。

B_query是B(t)以G1/G2生成元的multiexp的计算结果。

H_query是如下的计算以G1位生成元的multiexp的计算结果:

H(t)*Z(t)/delta

L_query是如下的计算在G1位生成元的multiexp的计算结果:

(beta*A(t)+alpha*B(t)+C(t))/delta

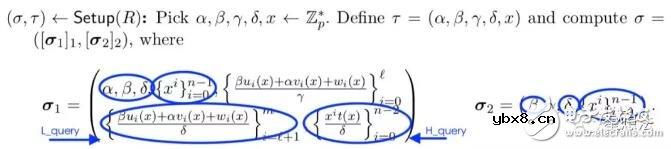
也就是说,r1cs_gg_ppzksnark_proving_key给出了Groth16算法中CRS的如下信息(用蓝色圈出)

零知识证明中的libsnark源代码全面分析

r1cs_gg_ppzksnark_constraint_system《ppT》定义在zk_proof_systems/ppzksnark/r1cs_gg_ppzksnark/r1cs_gg_ppzksnark_params.hpp文件中。

template《typename ppT》

using r1cs_gg_ppzksnark_constraint_system = r1cs_constraint_system《libff::Fr《ppT》 》;

也就是说,r1cs_gg_ppzksnark_constraint_system就是r1cs_constraint_system。

4.2 r1cs_gg_ppzksnark_verification_key

r1cs_gg_ppzksnark_verification_key记录了CRS中在verify过程需要的信息。

template《typename ppT》

class r1cs_gg_ppzksnark_verification_key {

public:

libff::GT《ppT》 alpha_g1_beta_g2;

libff::G2《ppT》 gamma_g2;

libff::G2《ppT》 delta_g2;

accumulation_vector《libff::G1《ppT》 》 gamma_ABC_g1;

。..

}

也就是说,r1cs_gg_ppzksnark_verification_key给出了Groth16算法中CRS的如下信息(用蓝色圈出)

零知识证明中的libsnark源代码全面分析

4.3 r1cs_gg_ppzksnark_processed_verification_key

r1cs_gg_ppzksnark_processed_verification_key和r1cs_gg_ppzksnark_verification_key类似。“processed“意味着verification key会做进一步处理,验证的过程会更快。

template《typename ppT》

class r1cs_gg_ppzksnark_processed_verification_key {

public:

libff::GT《ppT》 vk_alpha_g1_beta_g2;

libff::G2_precomp《ppT》 vk_gamma_g2_precomp;

libff::G2_precomp《ppT》 vk_delta_g2_precomp;

accumulation_vector《libff::G1《ppT》 》 gamma_ABC_g1;

。..

}

4.4 r1cs_gg_ppzksnark_keypair

r1cs_gg_ppzksnark_keypair包括两部分:r1cs_gg_ppzksnark_proving_key和r1cs_gg_ppzksnark_verification_key。

template《typename ppT》

class r1cs_gg_ppzksnark_keypair {

public:

r1cs_gg_ppzksnark_proving_key《ppT》 pk;

r1cs_gg_ppzksnark_verification_key《ppT》 vk;

。..

}

4.5 r1cs_gg_ppzksnark_proof

众所周知,Groth16的算法的证明包括A/B/C三个结果。

template《typename ppT》

class r1cs_gg_ppzksnark_proof {

public:

libff::G1《ppT》 g_A;

libff::G2《ppT》 g_B;

libff::G1《ppT》 g_C;

。..

}

4.6 r1cs_gg_ppzksnark_generator 给定一个r1cs_constraint_system的基础上,r1cs_gg_ppzksnark_generator能生成r1cs_gg_ppzksnark_keypair,也就是生成CRS信息。

template《typename ppT》

r1cs_gg_ppzksnark_keypair《ppT》 r1cs_gg_ppzksnark_generator(const r1cs_gg_ppzksnark_constraint_system《ppT》 &cs);

4.7 r1cs_gg_ppzksnark_prover

给定了proving key以及primary/auxiliary input,计算证明的A/B/C结果。

template《typename ppT》

r1cs_gg_ppzksnark_proof《ppT》 r1cs_gg_ppzksnark_prover(const r1cs_gg_ppzksnark_proving_key《ppT》 &pk,

const r1cs_gg_ppzksnark_primary_input《ppT》 &primary_input,

const r1cs_gg_ppzksnark_auxiliary_input《ppT》 &auxiliary_input);

已知proving key的情况下,计算A/B/C的结果,相当简单:

/* A = alpha + sum_i(a_i*A_i(t)) + r*delta */

libff::G1《ppT》 g1_A = pk.alpha_g1 + evaluation_At + r * pk.delta_g1;

/* B = beta + sum_i(a_i*B_i(t)) + s*delta */

libff::G1《ppT》 g1_B = pk.beta_g1 + evaluation_Bt.h + s * pk.delta_g1;

libff::G2《ppT》 g2_B = pk.beta_g2 + evaluation_Bt.g + s * pk.delta_g2;

/* C = sum_i(a_i*((beta*A_i(t) + alpha*B_i(t) + C_i(t)) + H(t)*Z(t))/delta) + A*s + r*b - r*s*delta */

libff::G1《ppT》 g1_C = evaluation_Ht + evaluation_Lt + s * g1_A + r * g1_B - (r * s) * pk.delta_g1;

4.8 r1cs_gg_ppzksnark_verifier

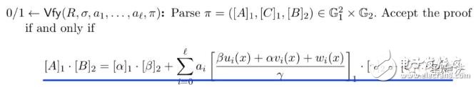
总共提供了四种验证函数,分成两类:processed/non-processed 和 weak/strong IC。processed/non-processed是指验证的key是否processed?weak/strong IC指的是,是否input consistency?Primary Input的大小和QAP的statement的大小相等,称为strong IC。Primary Input的大小小于QAP的statement的大小,称为weak IC。

以r1cs_gg_ppzksnark_verifier_strong_IC为例,在给定verification key/primary input的基础上,可以验证proof是否正确。

template《typename ppT》

bool r1cs_gg_ppzksnark_verifier_strong_IC(const r1cs_gg_ppzksnark_verification_key《ppT》 &vk

零知识证明中的libsnark源代码全面分析

总的来说,Groth16的证明生成和验证的逻辑如下图:

零知识证明中的libsnark源代码全面分析

可以看出,使用ZKSNARK(Groth16)证明,需要先创建一个r1cs_constraint_system。libsnark设计了Gadget的框架,方便搭建r1cs_constraint_system。

5. Gadget

libsnark提供了两套Gadget库:gadgetlib1和gadgetlib2。libsnark中很多示例是基于gadgetlib1搭建。gadgetlib1也提供了更丰富的gadget。本文也主要讲解gadgetlib1的逻辑。gadgetlib1的相关代码在libsnark/gadgetlib1目录中。

零知识证明中的libsnark源代码全面分析

5.1 protoboard

protoboard是r1cs_constraint_system之上的一层封装。通过一个个的Gadget,向r1cs_constraint_system添加约束。为了让不同的Gadget之间采用统一的Variable以及Lc,protoboard通过”next_free_var”以及“next_free_lc“维护所有Gadget创建的Variable以及Lc。

相关热词:#区块链