电气设备的绝缘性能通常是通过测量其绝缘电阻的大小来判断。为了保证人身安全和电气设备运行的安全,对不同相导电体之间或导电体与设备外壳之间的绝缘电阻都有一个最低的要求。电力工程中,通过兆欧表来定量的测量绝缘电阻,以判断是否出现绝缘问题,存在安全隐患。
室内低压电气线路中对绝缘电阻的要求是:相线对大地或对中性线之间不应小于0.22MΩ,相线与相线之间不应小于0.38 MΩ。
对家用电器则规定:基本绝缘电阻为2MΩ,加强绝缘电阻为7 MΩ。对低压电机规定应不低于0.5 MΩ,对高压电机规定每千伏工作电压不低于1 MΩ。
总结:绝缘电阻越大越好。
兆欧表是一种专门用来测量电气设备绝缘电阻的便携式仪表。一般的兆欧表主要由手摇直流发电机、磁电系比率表以及测量线路组成。

工作原理:将被测电阻RX接入端钮“线路L”和“接地E”之间,这时手摇直流发电机手柄,电流将分为两个回路流动:其中的电流I1从发电机正极→RX→R1→线圈1→发电机负极;电流I2从发电机正极→R2→线圈2→发电机负极。
由于线圈1和线圈2的绕向相反,故转动力矩M1和反作用力矩M2的方向相反。当M1=M2时,

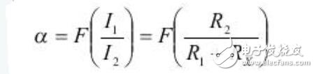
仪表可动部分的偏转角α与两个线圈内所通入电流的比值有关,而与测量电路中的电源电压无关。因此,兆欧表的核心又称为“磁电系流比表”。一旦仪表的结构确定时,则R1、R2均为定值,此时,仪表可动部分的偏转角α只与被测电阻RX的大小有关。由于I2的大小一般不变,偏转角α而随被测绝缘电阻Rx的改变而变化,所以能直接反映被测绝缘电阻的数值。且兆欧表的标度尺为反向刻度。
选择兆欧表。选择兆欧表的原则:一是其额定电压一定要与被测电气设备或线路的工作电压相适应。二是兆欧表的测量范围要与被测绝缘电阻的范围相符合,以免引起大的读数误差。
兆欧表的检查。使用兆欧表时应放在平稳、牢固,且远离带大电流的导体和外磁场强的地方。使用兆欧表之前,要先通过开路试验和短路试验来检查兆欧表的好坏。
切断电源,并进行放电,进行表面处理。为保证人身和设备的安全,测量前必须将被测设备电源切断,并对地短路放电,绝不允许设备带电进行测量。 对含有大电容的设备,测量前应先进行放电,测量后也应及时放电,放电时间不得小于2min,以保证将电放完。测量前,应将被测电气设备和兆欧表的测量处擦拭干净,并保持被测物表面的清洁,尽量减少接触电阻,确保测量结果的准确性。
兆欧表的接线。兆欧表有三个接线端钮,分别标有L(线路)、E(接地)和G(屏蔽),使用时应按测量对象的不同来选用。当测量电气设备对地的绝缘电阻时,应将L接到被测设备上,E可靠接地即可。
正确测量读数。操作者一手固定兆欧表,一手摇动兆欧表手柄。摇动兆欧表手柄时应由慢渐快至额定转速120r/min。测量时,绝缘电阻值随着测量时间的长短而不同,一般采用1min以后的读数为准。
谈到电能质量,必须得认识什么是电网的无功...
时间:2026-03-05
了解一下“薄膜厚度监控”
时间:2026-03-05
金属膜电阻功率选择标准,金属膜电阻功率怎...
时间:2026-03-05
金属膜电阻如何选型
时间:2026-03-05
如何选用插件电阻器
时间:2026-03-05
智能电网的基础详细教程:电力系统稳定
时间:2026-03-05
基于运算放大器的同相和反相比例放大器原理...
时间:2026-03-05
基于运算放大器的积分器电路实验过程
时间:2026-03-05
什么叫波形 波形有哪几种 波形的三个特征
时间:2026-03-05
电力系统规划设计:主网规划设计和配网规划...
时间:2026-03-05
电阻的标称阻值和允许偏差
时间:2026-03-05
零欧电阻的功能
时间:2026-03-05
PPTC热敏电阻在电池中的应用
时间:2026-03-05
水泥电阻规格及型号
时间:2026-03-05
气敏电阻的型号命名方法是怎样的
时间:2026-03-05
国巨片式电阻缺货涨价之应对方案 你要知道电...
时间:2026-03-05
RI-80F型高压高阻玻璃釉膜电阻分压器
时间:2026-03-05
电阻器的分类
时间:2026-03-05
电阻的额定功率
时间:2026-03-05
电阻的高频特性
时间:2026-03-05