早上很多朋友@我,安比实验室发表了一篇文章zkSNARK的“输入假名”的攻击。迅速看了看,很赞。这个攻击原理其实比较简单,但是,不深入理解zkSNARK以及使用场景的朋友确实很难发现和理解。本文讲讲我对这个攻击的分析和理解。
源于三天前
这种攻击方式一直潜伏着,没被发现。直到三天前:

俄罗斯开发者poma,在项目semaphore提交了一个issue,公开了这个攻击方法。poma同时也在kovan测试网络验证了这种攻击方式。
先从semaphore项目的代码开始:

话说,semaphore是个很有意思的项目,它提供了一套方法能让用户不暴露自己身份的情况下广播消息。暂不深入介绍这个项目的内容,直接看函数。broadcastSignal函数提交了证明,某个用户发送某个消息(signal)。只有具体的某个broadcaster(server)才会调用这个函数。
signal - 广播的消息内容
a/b/c以及input - 是zkSNARK的证明以及公开信息(statement信息)
函数实现(第82行),调用verifyProof函数验证证明以及statement信息是否是合理的证明。第83行,查看nullifier_hash是否被用过。
什么是Nullifier?
熟悉ZCash的朋友,估计对Nullifier比较熟悉。

为了保护交易的隐私,在链上只存储Note和Nullifier对应的hash信息。Note代表可以花的钱,Nullifier表示某笔钱已经消费。Note和Nullifier一一对应,一个Note只存在一个Nullifier。通过zkSNARK生成证明,证明Note和Nullifier的正确性以及存在某种联系。在链上,为了防止双花,在执行某个交易时,必须确定某个Note是否已经消费。确定的方法就是记录下Nullifier对应的hash信息。
verifyProof的计算
verifyProof的函数实现在snarkjs项目的templates/verifier_groth.sol(以Groth16为例)。verifyProof只是个简单的wrapper,具体计算的实现时verify函数。

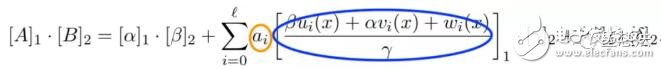
verify就是验证Groth16的验证等式是否成立,再看Groth16的验证等式:

其中橙色部分就是input,蓝色部分就是vk.IC。scalar_mul是椭圆曲线的“标量乘法”计算。vk.IC是椭圆曲线上的一个点(假设为P),input是个标量(假设x)。scalar_mul(P, x) 表示为xP。如果椭圆曲线的阶为q的话,下面的等式成立:
(x+q)P = xP + qP = xP
也就是说,x+p和x作为input的话,scalar_mul的计算结果相等。也就是说,Groth16的等式依然成立。
如何攻击?
在智能合约中,输入input是用uint表示。以太坊上一般采用bn254的曲线,q为:
21888242871839275222246405745257275088548364400416034343698204186575808495617。虽然这个q比较大,但是,uint的最大值还是比q大不少。
攻击方法就形成了:

在一个用户提交了证明以及公开的input信息后,攻击者修改input中的nullifier_hash即可。虽然逻辑上在花费同一笔钱,但是,智能合约却认为是花费不同的费用。智能合约认为一个Note只能对应一个Nullfier,事实上,在这样的情况下,一个Note对应了多个Nullfier。
如何修复?
修复的方式有好多种,目前最简单的修复方式是在verify函数加限制:

限制input不能超过q。
总结:
三天前,俄罗斯开发者poma公开了zkSNARK应用模型下的一种攻击方式。攻击不需要重新生成证明信息,只需要修改Statement中Nullfier对应的hash数据。原理是,椭圆曲线是个循环群,scalarMul计算在输入的标量加上椭圆曲线的阶的情况下,结果相等。
相关热词:#区块链
为什么需要MOSFET栅极电阻?MOSFET栅极电阻...
时间:2026-03-05
NTC/PTC/CTR热敏电阻是什么?热敏电阻的使用...
时间:2026-03-05
解析单电阻采样的原理以及注意点
时间:2026-03-05
共源极放大器的设计方法
时间:2026-03-05
关于STM32WL LSE 添加反馈电阻后无法起振的...
时间:2026-03-05
如何直观地判断两级放大器的零点位置呢?
时间:2026-03-05
时序分析基本概念介绍<wire load model&...
时间:2026-03-05
电子元器件解析—电阻
时间:2026-03-05
3PEAK高压零漂放大器契合精密应用
时间:2026-03-05
助力绿色5G数字式电流和功率监测芯片-TPA62...
时间:2026-03-05
未来什么技术占主流?会是区块链吗?
时间:2026-03-05
浅谈区块链下的智能合约
时间:2026-03-05
浅显易懂地揭开.Net生态系统的神秘面纱!
时间:2026-03-05
对技术的执着和美的追求变成了程序员的“诗...
时间:2026-03-05
什么是区块链技术_区块链技术解析
时间:2026-03-05
脑洞大开:玻璃窗也能发电?
时间:2026-03-05
如何布置无人值守变电站?
时间:2026-03-05
SCADA系统懂多少?
时间:2026-03-05
灰尘对光伏电站效率影响究竟多大
时间:2026-03-05
一种基于Agent的智能电网集成优化控制策略
时间:2026-03-05