当前位置:首页 > 电子元件 > 正文

介绍下集成电路MOS管的基础

来源:网络  发布者:电工基础  发布时间:2026-03-12 09:02

我们知道在射频微波电路中Cascode和吉尔伯特单元是最为常见的电路结构(LNA、PA、Mixer、VGA、PS等电路中常常有使用到),那么在开聊这些稍微复杂的电路结构之前,咋门先看看下面的一个简化的电路,大家可先停下来,思考下: 问题导入:如下图所示,假定Vth0=0.7V,忽略沟道调制效应和体效应(即lambda=0,gama=0),分析下图中电路,当Vx从0V变化到3V时,Ix是怎么样的一个响应曲线,同时M1管子是怎么样工作的???

介绍下集成电路MOS管的基础



本篇博文的主要目的是:希望通过总结概括MOS管的基础知识,1:给在校学生一个学习提纲;2:给正在求职面试的同学一个方便查阅的途径;3:也希望本期内容可以给从业人员一个温故而知新的小文库。因此,下面将按照如下内容进行展开:

介绍下集成电路MOS管的基础



基本概念

1)定义

MOS管,是MOSFET的简写(Metal-Oxide-Semiconductor Field-Effect Transistor, MOSFET),MOSFET即为金属-氧化物半导体场效应晶体管,当然我们平时还是叫MOS管比较自然一点,当然我们在实际工程中为了把NMOS和PMOS做在一起,用的比较多的还是CMOS(互补型金属氧化物半导体)。

看完上面的一段话,大家伙儿是不是还是一脸蒙圈,抛砖老哥你在说什么???你写的汉字我都认识,但为何我的大脑,任然不知道你在讲啥啊!!! 小老弟/小姐妹儿,咱不急,我们接着往下看——

2)结构

MOS管分为NMOS和PMOS,我们先抛开各种复杂的工艺流程不说,先看看NMOS它的庐山真面目,如下所示:

介绍下集成电路MOS管的基础



首先搞明白我们为什么要做MOS,其实简单地说就是我们需要有一个器件可以以小博大,四两拨千斤,通过较小的电压去实现对大的电压摆幅的输出(也就是放大作用,当然也可以是控制有无输出,即也可以做开关)。 好了,既然MOS管是用来做控制(以小博大)器件的,那么必然有这样一个三角关系:A和B作为发起方和受用方,而C呢就作为调控方,就好像上面的一根小小的管子,把两杯水给安得明明白白。

在实际的工艺中,咱们就见到了如上图提到的NMOS结构,其中D和S就是发起方和受用方,我们通常把D叫做漏极,把S叫做源极(当然只是这么叫,在某些特定的电压下,他哥俩的身份是可以互换的),然后G我们把它叫做栅极(就是中间人,你也可以把它叫做以小博大的皮条客),皮条客G栅极为了避免有一天东窗事发,干活的时候会用一层薄薄的绝缘氧化物薄膜把自己和D、S隔离开来,也就是上面的氧化物有一层tox的厚度。那么D和S的距离,也就是等效栅长,我们叫做MOS管的等效沟道长度Leff,(话说,台积电准备在2025年把控制D和S的距离在量产到2nm,而韩国三星更为恐怖,他准备在2027年把D和S的距离量产到1.4nm了,什么,国内呢?这个嘛,不清楚,大家伙可以留言讨论)

对了,MOS管的中文全称叫啥来着?哦,金属-氧化物半导体场效应晶体管,那么这里我们就把金属D、S、G以及氧化物薄膜为基础的场效应管结构介绍完了,然后所谓半导体嘛,自然就是说咱们的这些个栅极G、漏极D、源极S以及氧化物薄膜的办公室,当然他们的办公室不是随随便便选个场地就玩完,他们是选中了以低掺杂浓度的P衬底为场地,为了不坏事,场地和所谓的G、D、S尽量不要发生办公室恋情,至少不要影响到G、D、S干活,因此在NMOS中的P衬底所谓的低掺杂就是说正常情况下基本不导电,只是提供场地的作用(当然,都说日久生情,我们的衬底有时候也会对MOS管产生一些情愫和影响,我们在后面的MOS管的二级效应中,会继续来聊聊这段孽缘)。

好了,上面我们大概了解了MOS管的作用的基本构成,在实际使用中,一般我们会用互补型的金氧半场效晶体管工艺,也就是大名鼎鼎的CMOS工艺,其结构如下图所示:


介绍下集成电路MOS管的基础



大家肯定会说,城市套路深,我要回农村,咱家又不是没地,干嘛委屈自己挤在一起干活?

我想说的是,小伙子光家里有地还不行啊,毕竟现在是公元2022年,现代社会讲求的是高效与合作共赢嘛!那么当我们把NMOS和PMOS放在一起的时候,往往可以达到事半功倍的效果,不过话又说回来,他俩经营的事业还是有点不一样的,NMOS和PMOS形成沟道的先决条件都是需要势垒电压的变化,因此天然而言,其存底掺杂的类型就有点区别,就好像虽然在商场里面大家都是做生意的,但是还是需要做一些隔间来区分各自的功能性,那么在CMOS工艺中,就是在P衬底上面做一个N-Well,然后PMOS就可以做到这个N-WELL里面了,这样PMOS和NMOS就可以愉快地在一起玩耍了。

3)表示符号

为了在交流过程中更加顺畅,我们的物理学家和工程师们就对NMOS和PMOS的表示符号进行了一些定义,这个就好像我们中国的传统象形文字一样,见下图所示:

介绍下集成电路MOS管的基础



在(a)、(b)、(c)中均是NMOS和PMOS的象形符号,大家可以按照自己的喜好去用,一般来说我们会把衬底的端电压(B,Bulk)接到地或者VDD上面,因此用(b)、(c)的时候要多一些,其中(c)的符号表达式在数字电路中用的比较多(表示开关)。

4)常见版图实例

相信大家在面试的时候,很多面试官为了考查大家对NMOS和PMOS管子的结构是否理解的清楚,经常会叫大家绘制出最为典型的反相器的截面图,因此大家对上面给出的NMOS与PMOS的截面图还是要多多理解下。这里给出一个经典的反相器的原理图和版图(并非截面图),供大家参考。

介绍下集成电路MOS管的基础



介绍下集成电路MOS管的基础



好了,聊完基本的MOS管概念,下面我们进入一点数学的环节(不要被吓着,其实这些数学公式也就是物理现象的一种表示方式,就和我们上面提到的象形文符号一样的,他使我们的表达更加精炼,因此在这篇博文中我们不做数学推导,只做大自然的搬运工),那么下面就来讨论下,到底这个MOS管咋个工作的!!!

MOS管的I/V特性

如前面所说,我们研究I/V特性不是为了推导而推导,只是为了让我们更加清楚地了解MOS管的工作状态,在后续的表达中可以更加简洁精炼,因此我们本部分重点讨论MOS管的工作状态(主要讨论NMOS管,PMOS其实很多时候就是多一个负号,大家可以自行分析下),以及如何判断工作状态,附带地根据数学公式绘制出各个状态下的I/V特性。

1)导通特性

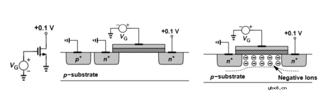
介绍下集成电路MOS管的基础



如上图所示,当我们不断升高VG,会有什么事情发生呢???我们可以看到栅极和衬底之间会等效成一个电容板,那么VG电压升高,堆积在栅极金属板的电荷就开始变多了,当电荷多到形成了一个沟道,这个时候D和S就会被导通,此时我们的VG就是所谓的“阈值电压”,VTH电压。

我们接着继续提高VG,此时沟道里面的电荷密度继续增加,导致漏源电流进一步增加。好了,那么我们刚刚提到的VTH是一个定性分析出来的量,下面我直接给出半导体物理里面VTH的计算公式:


介绍下集成电路MOS管的基础



其中

介绍下集成电路MOS管的基础

是多晶硅栅和衬底的功函数之差的电压值,

介绍下集成电路MOS管的基础

里面的Nsub是衬底的掺杂浓度,q是电子电荷,ni是硅的本征载流子浓度,Qdep是耗尽区的电荷,Cox是单位面积的栅氧化层电容。

当然我们实际计算不可能用上面的数学公式,因为这些个参数,我等凡人怕是不好测试到哦,当然就算是烧炉子的老师傅怕也是不好得到上面的参数进而求解到VTH,那么我们怎么来得到VTH 呢?下面且听我把IV特性函数细细道来,当然现在的工艺大厂们一般SPICE参数里面会有一个VTH0,我们可以直接用。

2)I/V曲线函数关系

介绍下集成电路MOS管的基础



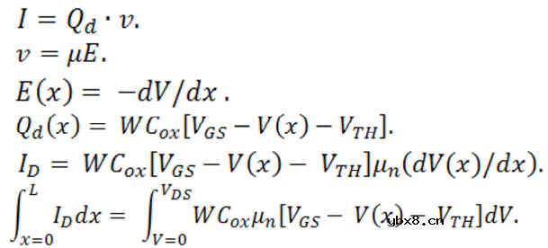
首先我们还是假设在NMOS管的栅极加上VG,源极S接地,漏极加一个VD电压,然后根据下面的公式(看不太明白没关系,可以到群里或者加作者好友留言讨论):

介绍下集成电路MOS管的基础



好了,不管推导过程的话,我们直接可以得到NMOS的漏极电流ID的数学函数表达:

介绍下集成电路MOS管的基础



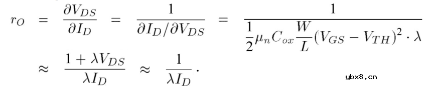
也就是说,此时我们的电流与载流子迁移率、单位长度电容、VGS、VTH以及VDS的值相关(抛物线方程),我们对ID求一个关于VD的偏导并令其为0,此时就可以看到想要ID获得最大值,ID为:

介绍下集成电路MOS管的基础



Bingo,相信学过模拟电路的大家,此时对ID,max的值有一点点印象了吧,哈哈,他就是咋门NMOS管饱和时的电流啦,也就是说,当VD=VGS-VTH时,咱们的NMOS管的电流将会趋于稳定,也就是达到饱和状态(这个我们待会后面再来讨论)。

这里我们需要对上面公式中的两个参数,单独拉出来说一说:

1是我们的VGS-VTH,这就是大名鼎鼎的“过驱动电压”,怎么说呢,为了形象地理解的话,我们VG刚刚达到VTH时就可以开启,但是我们继续加电压(也就是VG-VTH还有余粮了),这个时候,是不是就驱动的飞起了,所以我们这么理解过驱动电压没毛病吧(哈哈,先这么理解吧,其实这个说法还是有点点值得考究的)。

2是我们的W/L,这就是我们在日常工作中提到的“宽长比”,在上面的公式中通过调节宽长比可以改变整个MOS管的最大输出电流,在后续的博文中我们还会讨论到宽长比对跨导,噪声,线性度等等的影响。

好了,到目前为止我们大概讨论三种电流电压状态【哈哈,此时的你心里是不是在想:什么,什么?哪来的三种?抛砖老哥你没骗我吧,我明明才看到1种啊,就是你说的VDS=VGS-VTH,我天,难道我眼花了?】好吧,我们把时间调回本节开始的地方: 1.当VG小于VTH时,此时我们的管子截止,也就是我么所谓的截止区,电流为0; 2.当VG大于VTH,且VDS≥VGS-VTH,此时管子处于饱和区,电流为:

介绍下集成电路MOS管的基础



3.当VG大于VTH,且VDS<VGS-VTH,此时为三极管区(也有叫线性区的),此时电流为

介绍下集成电路MOS管的基础



介绍下集成电路MOS管的基础



好了,就这些,大家伙自个体会吧(可能看到这里还是有点绕,没关系后面我们还有一个比较容易判定工作在哪个区的方法)

3)跨导的表达

这部分内容,就偷个懒,不在赘述其基本由来,直接根据上面的电流公式进行一个关于输入电压的求偏微分,即当管子处于饱和区时:

介绍下集成电路MOS管的基础



当管子处于三极管区(线性区)时:

介绍下集成电路MOS管的基础



通过跨导的大小我们就可以知道该管子四两拨千斤的能力,也就是说,VGS稍微变动一下咱门的ID就可以有较大的变化,gm就是衡量这个四两拨千斤能力的值。

4)如何快速判断NMOS管的工作状态

介绍下集成电路MOS管的基础



这里承接上面判断NMOS管的工作区部分,通过上图我们可以知道:

1.我们看横坐标,当VGS小于VTH时,即竖虚线左边,管子截止,处于截止区;

2.看横轴VGS大于VTH时,斜虚线为VD=VGS-VTH,斜虚线上方为VDS大于VGS-VTH,管子处于saturation,即饱和区;

3.继续看横轴VGS大于VTH时,斜虚线为VD=VGS-VTH,斜虚线下方为VDS小于VGS-VTH,管子处于Triode,即三极管区或者叫线性区; 好了,现在各个工作区的区分条件大家应该比较清楚了,那么在来补充一个概念,就是当我们的MOS用于开关的时候,开启时是处于什么状态呢?此时开启电阻又是多少?好了这个问题大家就自行下来找答案或者到群里讨论吧。

MOS管的二级效应

说到MOS管的二级效应,其实呢,主要就是我们在之前聊到的那段衬底与源极之间的孽缘、沟道长度效应和亚阈值导通特性。


介绍下集成电路MOS管的基础



1)体效应

说到体效应,在之前我们都是默认衬底端接电到了GND,也就是说我们默认把VSB的值认为是一个固定值,那么VTH就可以根据之前的公式去求得,BUT,我们知道当VB变得更负(或者说VSB的相对值变得更负),那么将有更多的空穴被吸引到衬底电极,进而留下来了大量的电荷,使得耗尽层变得更宽

介绍下集成电路MOS管的基础



介绍下集成电路MOS管的基础



因此,此时受体效应影响的阈值电压VTH的新的计算公式有如下表示:

介绍下集成电路MOS管的基础



VTH0就是之前的那个阈值电压,一般我们工艺厂家会在SPICE文件中给出这个值,而VSB就是MOS管源极与衬底接触的电压差。


介绍下集成电路MOS管的基础

 

为体效应系数,同样的,一般我们工艺厂家会在SPICE文件中给出这个值,在我们计算的时候直接带进去就可以的。

2)沟道调制效应

这个效应发生在饱和区,如下图所示,反型层局部电荷密度正比与VGS-VTH-V(x),因此当V(x)接近于VGS-VTH时,电荷密度下降为0,即反型层这个时候终止,我们提高漏极电压与源极电压压差,会让反型层比2002年的第一场雪还要来的早一些,换句话说,随着栅和漏之间的电压差增大时,实际的反型沟道长度逐渐减小(哈哈,这里也就间接地说明了沟道调制效应他并不是在截止区和三极管区)

介绍下集成电路MOS管的基础




介绍下集成电路MOS管的基础



Lambda是沟通调制调制系数,当然在实际工程中,MOS管的SPICE参数里面会给出这个值。同样的道理,我们可以根据新的ID求出在沟道调制效应下面的跨导:

介绍下集成电路MOS管的基础



3)亚阈值导通特性

这个特性呢,有点点反三观,因为我们之前一直在聊,当VGS小于VTH(即栅源电压小于阈值电压)时,管子就关断了,但是现实是咱们的MOS管大兄弟的求生欲十分强,当VGS约等于VTH或者略小于VTH时,还存在一个弱弱的反型层,并且有一些小小的漏源电流,那么可能大家伙又会问了,MOS管的这个小任性又会带来什么幺蛾子呢?

以前上初高中的时候,背写英文小作文,最为经典莫过于“Every coin has two sides”,那么MOS管的亚阈值导通特性也是一样的,一方面由于当VGS小于VTH管子关而不断,会导致管子中存在的小小的电流,这个电流一旦积少成多就是一个相当恐怖的存在,比如上百万甚至上亿个管子工作的时候,这个小电流就会是一个可怕的功耗;那么另外一方面,当我们的MOS管处于亚阈值区时,电流与VGS呈指数关系,此时就可以获得较大的增益:

介绍下集成电路MOS管的基础



我们平时工作状态在三极管区或者饱和区的正常MOS管,如何过渡到亚阈值区呢?答案就是,当保持ID不变,增大栅宽W,使得VGS逐渐靠近甚至略小于VTH,或者我们减小电流ID,那么带来的一个结果就是亚阈值电路的速度是很受限制的。

MOS管的抽象电路模型

1)MOS管的小信号模型

在分析MOS管小信号模型之前,我们先要搞明白为啥要花这么多时间去做这件事。首先呢,前面也提到了,我们用MOS管主要是用来做开关或者四两拨千斤的控制放大效果,然后有了这个前提,那么我们是不是就得顺着这个目标,去分析电压电流之间的关系?

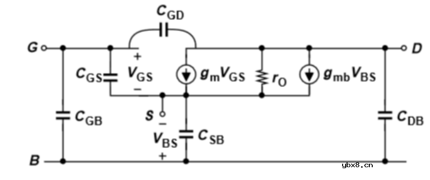
好了,既然要做这么一件事,我们想办法搞出来一个模型,再用我们简单的KVL/KCL规则去一顿分析,最后我们得到了用怎么样子的“四两”去拨动怎么的“千斤”,换句话说,我们建立小信号模型是为了推导出MOS管输出与输入关系的数学表达。下面先给出常见的NMOS的小信号模型,后续我们逐步拆解其构成:

介绍下集成电路MOS管的基础



如何得出上面的MOS管的小信号模型的呢?

首先,对于MOS管而言,我们在栅源端加一个电压变量,然后就可以在漏端去检测到相应的电流变化,也就是说MOS管可以用连接在源漏之间的压控电流源来模拟改变化,即得到如下基础模型:

介绍下集成电路MOS管的基础



然后,我们将二级效应中的沟道调制效应考虑进来,也就是说此时我们的ID会多一个上文分析到的因子,我们对其除以电压,就可以等效为一个电阻ro:

介绍下集成电路MOS管的基础




所以,此时的小信号模型可以变为这样的:


介绍下集成电路MOS管的基础



再然后,我们把二级效应中的体效应考虑进来,同样的,根据上文的分析,我们的ID会多一个关于VTH的变化,也就是说,在栅源之间会存在一个VSB的相对电压源存在,进而会在漏端求电流时的受控源会多一个gmb*VSB的存在,所以,此时的小信号模型继续变为:

介绍下集成电路MOS管的基础



最后,我们再把MOS管的电容效应考虑进来,也就是说我们在分析导通特性那会聊到了,在MOS管内部会存在一些沟道,可以等效为电容,那么可以简单地得到下图: 

介绍下集成电路MOS管的基础



所以,我们将其带入到上面考虑了MOS管二级效应的小信号模型之中,最终我们得到了MOS管的小信号模型如下所示:

介绍下集成电路MOS管的基础



那么,如何利用该小信号模型来分析IV曲线或者跨导特性呢?大家可以自行下来拆解,或者如果这期反馈还不错,大家都在积极点赞转发啥的,那么我们可以后面找个时间再出一期,来分析信号如何在该模型之中传播的。

2)MOS管的SPICE模型

其实SPICE模型,和上面的小信号模型一样,是描述电路特性芸芸众生中的一员大将。 在我们的科学家(主要是UCB大学的教授们)和工程师们多年的努力下,找到了一套描述管子工作状态的程序化描述语言——SPICE模型。

SPICE是Simulation Program with Integrated Circuit Emphasis的缩写,是一种功能强大的通用模拟电路仿真器,描述器件内部的实际电气连接,该程序是美国加利福尼亚大学伯克利分校电工和计算科学系开发的,主要用于集成电路电路分析程序中,Spice的网表格式变成了通常模拟电路和晶体管级电路描述的标准,其第一版本于1972年完成,是用Fortran语言写成的,1975年推出正式实用化版本,1988年被定为美国国家工业标准,主要用于IC,模拟电路,数模混合电路,电源电路电子系统的设计和仿真

好了,到底什么是SPICE模型?能不能具体化一点,哈哈,咱就不卖关子了,本文就搬运一个0.5um CMOS工艺的“LEVEL1” SPICE模型:

介绍下集成电路MOS管的基础



有没有惊讶到您,这这这,为啥就只个表格呢?哈哈,对头,其实它就是一个表格,通过程序语言来建立各个网格之间的关系的。那么这个咋个看呢?如下:

介绍下集成电路MOS管的基础



当然,还有一些描述MOS管的模型,比如IBIS模型,Verilog-AMS模型和VHDL-AMS模型等等,咱们就不一一去诉说了,当然,最主要的还是我不太会、不了解。。。  




审核编辑:刘清

最新文章
集成电路的分类集成电路的分类

时间:2026-03-12

集成电路型号命名方法集成电路型号命名方法

时间:2026-03-12

集成电路引脚的识别集成电路引脚的识别

时间:2026-03-12

集成电路引脚的判别方法集成电路引脚的判别方法

时间:2026-03-12

集成电路的检测及故障查寻集成电路的检测及故障查寻

时间:2026-03-12

拆除集成电路的方法拆除集成电路的方法

时间:2026-03-12

三端集成稳压器的电路结构及主要特性参数三端集成稳压器的电路结构及主要特性参数

时间:2026-03-12

三端固定正稳压器三端固定正稳压器

时间:2026-03-12

使用三端集成稳压器时应注意的事项使用三端集成稳压器时应注意的事项

时间:2026-03-12

稳压器应用参考电路稳压器应用参考电路

时间:2026-03-12