D/A转换器介绍
D/A转换器又称数/模转换器,简称DAC,它的功能是将数字信号转换成模拟信号。不管是十进制数还是二进制数,都可以写成数码与权的组合表达式,例如二进制数1011可以表示成:
**1011(2)=12^3+02^2+12^1+12^0=11(10)**
这里的“1”和“0”称为数码,23、22、21、20称为权,位数越高,权值越大,所以23>22>21>20。D/A转换的基本原理是将数字信号中的每位数按权值大小转换成相应大小的电压,再将这些电压相加得到模拟信号电压。
问:什么情况下会用到D/A转换器?
答:比如常见的MP3播放器。它里面的音频文件是以数字的格式存在,但是数字信号是无法驱动像扬声器这类的驱动电路,必须将数字信号转换成模拟信号才能驱动扬声器。
答:比如CRT显示器。它需要接受模拟信号才能正常工作。而电脑显卡输出的是数字信号,需要在两者间经过一个数模转换模块才能输出模拟信号驱动CRT显示器正常工作。
答:比如单片机设计。如果你想要用单片机系统控制一个电磁铁吸合的力度,假设该电磁铁吸合力度的变化是由在0到24v变化的直流电压造成的,这就需要某一时刻可能是0V,可能是7V,可能是10v。而单片机只能输出高电平或低电平,即1或0,满足不了控制电路的需求,故而需要添加DA转换模块实现单片机对控制电路的控制。
VARIETY
常见的D/A转换器
权电阻型D/A转换器

图15-2所示是一个3位权电阻型D/A转换电路。S2~S0为3个电子开关,开关的切换分别受输入的数字信号D2~D0的控制,当D=1时,开关置于“1”处,当D=0时,开关置于“2”处。电子开关可由三极管或场效应管构成。

图15-3所示为场效应管和非门构成的电子开关。当D=1时,经非门G1变为“0”,“0”送到场效应管VT2的栅极,VT2截止,G1输出的“0”再经非门G2后变为“1”,它送到场效应管VT1的栅极,VT1导通,相当于开关置于“1”位置。反之,若D=0,VT2导通,VT1截止,相当于开关置于“2”位置。
工作原理
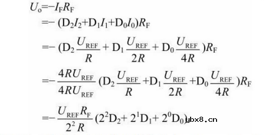
图15-2中R2、R1和R0的阻值分别为R、2R和4R,R2、R1、R0、RF与运算放大器构成加法器。当输入的数字信号D2D1D0=000时,S2~S0均接地,即无电流流过R2、R1、R0,流过反馈电阻RF的电流IF=0A,运算放大器输出的电压Uo=−IFRF=0V。当输入的数字信号D2D1D0=001时,S2、S1接地,S0接参考电压UREF,有电流流过R0,因为运算放大器“−”端为虚地端,电压为0V,故流过R0的电流 **I0=UREF/4R** ,又因为“−”端与运算放大器内部具有“虚断”特性,流入“−”端的电流为0A,电流I0全部流过反馈电阻RF,故IF=I0,运算放大器输出的电压 **U0=-IFRF=-I0RF=-UREF*RF/4R** 。
当输入的数字信号D2D1D0=010时,S2、S0接地,S1接参考电压UREF,有电流流过R1,流过R1的电流 ** I0=UREF/2R** ,流过反馈电阻RF的电流IF=I1,运算放大器输出的电压 **U0=-IFRF=-I1RF=-UREF*RF/2R** 。
当输入的数字信号D2D1D0=011时,S2接地,S1、S0接参考电压UREF,有电流流过R1、R0,流过R1的电流 **I1=-UREF/2R** ,流过R0的电流 **IF=I1** ,运算放大器输出的电压 **U0=-IFRF=-I1RF=-UREF*RF/2R** 。
当输入的数字信号D2D1D0=010时,S2、S0接地,S1接参考电压UREF,有电流流过R1,流过R1的电流 I1 =UREF/2R ,流过R0的电流 **I0=UREF/4R** ,流过反馈电阻RF的电流IF=I1+I0,运算放大器输出的电压:
U0=-IFRF=-(I1+I0)RF=
*-(UREF/2R+UREF/4R)RF
当输入的数字信号D2D1D0=100时,输出电压 :
UO=-IFRF=-I2RF=
-UREF*RF/R
当输入的数字信号D2D1D0=101时,输出电压 :
U0=-IFRF=-(I2+I0)R=
-(UREF/R+UREF/4R)RF
当输入的数字信号D2D1D0=110时,输出电压 :
U0=-IFRF=-(I2+I1)RF=
-(UREF/R+UREF/2R)RF
当输入的数字信号D2D1D0=111时,输出电压:
U0=-IFRF=-(I2+I1+10)RF=
-(UREF/R+UREF/2R+UREF/4R)RF
由此可以看出,当输入的数字信号的数值越大,电路输出负的电压Uo越低,电压Uo是一种阶梯信号,它经倒相和滤波平滑后就可以得到图15-2所示的模拟信号U1。
权电阻型D/A转换器的优点是结构简单,使用元器件少;缺点是权电阻阻值不同,在位数多时差距大。例如在8位权电阻型D/A转换器中,如果最小电阻R=10kΩ,那么最大电阻的阻值会达到28−1=1.28MΩ,两者相差128倍,在这么大的范围内精确选择成倍数阻值的电阻很困难,并且不易集成化,因此集成D/A转换器很少采用权电阻型。
●对于输入数据为D2D1D0的3位权电阻型D/A转换器,其输出电压Uo可表示为:

●**举例:在图15-2所示的3位权电阻型D/A转换器中,UREF=−8V,RF=25kΩ,R=50kΩ,输入数字信号D2D1D0=101,那么输出电压Uo的值为:**

倒T型D/A转换器

倒T型D/A转换器又称R-2R型D/A转换器,其电路结构如图15-4所示。从图中可以看出,该电路主要采用了阻值为R和2R的两种电阻,可以有效解决权电阻型D/A转换器电阻差距大的问题。
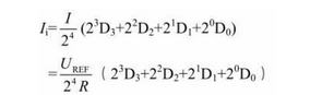
从图15-4中不难发现,A、B、C点往右对地电阻值都为2R,A点往右对地电阻值为R+2R∥2R=2R,B点往右对地电阻值为R+2R∥2R(A点往右对地电阻值)=2R,C点往右对地电阻值为R+2R∥2R(B点往右对地电阻值)=2R。电压UREF输出的电流每经一个节点就分流一半,流过4个阻值为2R的电阻的电流分别为I/2、I/4、I/8、I/16,当D=0时,电子开关处于“1”,当D=1时,电子开关处于“2”,流往运算放大器的电流Ii可表示为:
I1=ID3/2+ID2/4+ID1/8+ID0/16
由于电压UREF往右对地电阻值为2R∥2R(C点往右对地电阻值)=R,故 **I=UREF/R** ,上式可转换为:

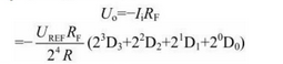
因为Uo=−IFRF,而IF=I1,所以输出电压为:

对于n位倒T型D/A转换器,其输出电压为:

从上式可以看出,n位倒T型D/A转换器输入的数字信号(Dn−1Dn−2…D0)越大,(2n−1Dn−1+2n−2Dn−2+…20D0)的值就越大,输出电压Uo的幅度也就越大,从而将不同的数字信号转换成幅度不同的模拟电压。
电场激活原位掺杂平面光伏型胶体量子点红外...
时间:2026-03-09
什么是硅片或者晶圆?一文了解半导体硅晶圆
时间:2026-03-09
集成电路的几纳米代表了什么?
时间:2026-03-09
金刚石基GaN问世 化合物半导体行业进入第三...
时间:2026-03-09
实用模拟电路小常识浅析
时间:2026-03-09
寄存器是什么?怎么操作寄存器点亮LED灯?
时间:2026-03-09
一文详解MOS管驱动电路拓扑的设计
时间:2026-03-09
汽车芯片业应汲取的教训
时间:2026-03-09
半导体光刻工艺 光刻—半导体电路的绘制
时间:2026-03-09
电阻的原理和作用 电阻色环识别图 电路中电...
时间:2026-03-09
石英灯电子变压器电路原理
时间:2026-03-06
住宅小区负荷与变压器容量的选择技巧
时间:2026-03-06
变压器的常用型号如何标识?变压器的有载如...
时间:2026-03-06
使用过滤器电容器和诱导器来抑制受辐射的EM...
时间:2026-03-05
LED固晶机龙头直面“寒冬”
时间:2026-03-05
玻璃釉电容器的结构与特点
时间:2026-03-05
电容器入门教程
时间:2026-03-05
分析一个工作中常用的带有放大功能的高精度...
时间:2026-03-05
关于STM32WL LSE 添加反馈电阻后无法起振的...
时间:2026-03-05
绝缘电阻表的选用及使用注意事项
时间:2026-03-05