光开关,光开关的分类,光开关的工作原理是什么?
光开关是一种具有一个或多个可选择的传输窗口,可对光传输线路或集成光路中的光信号进行相互转换或逻辑操作的器件。
机械式光开关:插入损耗低;隔离度高;不受偏振和波长影响;开关时间长(ms),重复性较差。
其它光开关:开关时间短(ms);体积小;插入损耗大;隔离度低。

光开关的特性参数
1.插入损耗(Insertion loss)

2.回波损耗(Return loss)
从输入端返回的光功率与输入光功率的比值。


3.隔离度
两个相隔离的输出端口光功率的比值。

4. 串扰
输入光功率与从非导通端口输出的光功率的比值。

5.消光比
两个端口处于导通和非导通状态的插入损耗之差。
ER=IL-IL0
6.开关时间
开关端口从某一初状态转为通或者断所需的时间。从在开关上施加或撤去能量的时刻算起。
光开关的工作原理:
1. 机械式光开关

移动光纤式光开关

移动反射镜式光开关
以上两种体积大,难实现集成化的开关网络。近年正大力发展一种集成的微机电系统(MEMS)开关,在硅片上用微加工技术做出大量可移动的微型镜片构成的开关阵列。

用16 个移动反射镜光开关构成的两组4 4MEMS开关阵列
2 电光开关
电光开关的原理一般是利用材料的电光效应或电吸收效应,在电场作用下改变材料的折射率和光的相位,再利用光的干涉或偏振等使光强突变或光路转变。
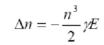
电光开关一般利用泡克耳斯(Pockels)效应,即折射率n随光场E而变化的电光效应。折射率变化与光场的变化关系为:

而光波传输距离L相应的相位变化为:

定向耦合型光开关

定向耦合器中两耦合波导光功率周期性相互转换


定向耦合器的开关特性
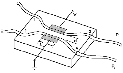
M-Z型干涉仪光开关
波导型M-Z干涉仪是一种广泛应用的光开关。它由两个3dB耦合器级联而成。

工作原理:
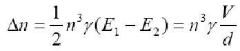
在两个光波导臂的电极上分别加上电压V和-V,各产生相应电场E1和E2。因此波导臂所产生的折射率变化为:

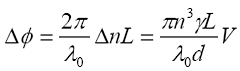
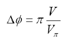
对于对称型M-Z干涉仪,L1=L2=L,两臂的相位差为:

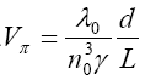
令Df=p时的电压为半波电压:

两臂的相位差可以表示为:

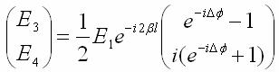
设①端输入的电场强度为E1,从③、④端输出的信号的电场强度为E3 、E4,利用耦合器的传输方程,可得

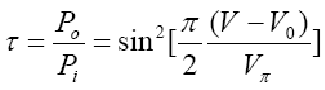
③、④端的透过率为:

不加电压时,V=0,T3=0,T4=1;加半波电压Vp时,T3=1, T4=0,实现了开关作用。偏振强度调制型光开关
由电光相位调制器、起偏器P和检偏器Q组成

该功率器件的功率转变比为


3 热光开关
热光开关和电光开关的结构可以是相同的,但是产生开光效应的机理不同。这里的热光效应是指通过电流加热的方法,使介质的温度变化,导致光在介质传输的折射率和相位发生改变的物理效应。这是率随温度的变化可用以下关系式表示:


4 液晶光开关

液晶光开关工作原理
5 磁光效应光开关

6.声光开关
声光效应是指声波通过材料产生机械应变,引起材料的折射率周期性变化,形成布拉格光栅,衍射一定波长的输入光的现象。利用声致光栅使光偏转做成光开关。
声光开关工作原理
区块链的本质到底是什么?区块链将带来的3大...
时间:2026-03-05
多权益证明multi-PoS的原理解析
时间:2026-03-05
高速通信的混频器和调制器分析
时间:2026-03-05
TD无线固话设计思路的技术思考
时间:2026-03-05
宽带卫星应急指挥便携系统
时间:2026-03-05
ZigBee在公交信息系统中的实现
时间:2026-03-05
EMC和ESD防护技术
时间:2026-03-05
基于一种特殊的有向图Tangle介绍
时间:2026-03-05
区块链钱包的基本类型和特点以及工作原理介...
时间:2026-03-05
智慧工厂能耗在线监控平台开发能源管控系统...
时间:2026-03-05
瞬间抑制二极管(TVS)/瞬间抑制二极管(TVS)是...
时间:2026-03-04
什么是霍尔传感器
时间:2026-03-05
半导体材料的主要种类有哪些?
时间:2026-03-04
数字比较器,数字比较器是什么意思
时间:2026-03-04
常用整流二极管型号大全
时间:2026-03-04
S/HS固态继电器原理简介
时间:2026-03-04
稳压二极管的选用和代换
时间:2026-03-04
TVS器件的电特性有哪些
时间:2026-03-04
TVS二极管的分类/应用,TVS二极管的特点/选用...
时间:2026-03-04
快恢复二极管,快恢复二极管是什么意思
时间:2026-03-04