DC/AC逆变器,DC/AC逆变器的基本原理是什么?
背景知识:
DC/AC逆变技术能够实现直流电能到交流电能的转换,可以从蓄电池、太阳能电池等直流电能变换得到质量较高的、能满足负载对电压和频率要求的交流电能。DC/AC逆变技术在交流电机的传动、不间断电源(UPS)、变频电源、有源滤波器、电网无功补偿器等许多场合得到了广泛的应用。
DC/AC逆变技术的基本原理是通过半导体功率开关器件(例如SCR,GTO,GTR,IGBT和功率MOSFET模块等)的开通和关断作用,把直流电能变换成交流电能,因此是一种电能变换装置。由子是通过半导体功率开关器件的开通和关断来实现电能转换的,因此转换效率比较高。但转换输出的波形却很差,是含有相当多谐波成分的方波。而多数应用场合要求逆变器输出的是理想的正弦波,因此如何利用半导体功率开关器件的开通和关断的转换,使逆变器输出正弦波和准正弦波就成了DC/AC逆变器技术发展中的一个主要问题。
基本原理:
常用逆变器主电路的基本形式有两种分类方法:按照相数分类,可以分为单相和三相;按照直流侧波形和交流侧波形分类,可以分为电压型逆变器和电流型逆变器。具体如下:

DC/AC逆变器按拓扑结构划分,分为Buck型DC/AC逆变器,Boost型DC/AC逆变器,Buck-Boost型DC/AC逆变器。
1,Buck型DC/AC逆变器
Buck型DC/AC逆变器电路基本拓扑如图所示。

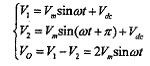
采用了两组对称的Buck电路,负载跨接在两个Buck变换器的输出端,并以正弦的方式调节Buck变换器的输出电压,进行DC/AC的变换。它包括直流供电电源Vm,输出滤波电感L1和L2,功率开关管S1-S4 。滤波电容C1和C2,续流二极管D1-D4,以及负载电阻R。通过滑模控制,使输出电容电压V1和V2随参考电压的变化而变化,从而使两个Buck变换器各产生一个有相同直流偏置的正弦波输出电压,并且V1和V2在相位上互差180度。由于负载跨接在K和代的两端,则DC/AC变换器的输出电压玲为如下式所示的正弦波,图2所示即为逆变器的基本工作原理。

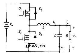
虽然有一个直流偏置电压出现在负载的任一端,但负载两端电压为正负交变的正弦波电压,并且其直流电压为零。由于DC/AC变换器的输出电流是正负交变的,因此要求电路中的Buck变换器的电流能双向流通,如图1所示电路由两组双向Buck变换器组成。一组电流双向流通的Buck变换器可见图3所示。凡与又是一对互补控制的开关管,D1和D2为反并止极管。当开关S1闭合、S2打开时,若电感电流方向为正,则电流流经S1,若为负则电感电流经D1续流。当S1打开、S2闭合时,若电感电流方向为正,则电流经D2续流,若为负则电感电流流经S2。



2,Boost型AC/AC逆变器
Boost型DC/AC逆变器电路基本拓扑如图所示。采用了两组对称的Boost电路,负载跨接在两个Boost变换器的输出端,并以正弦的方式调节Boost变换器的输出电压,进行D/AC的变换。它包括直流供电电Vm,输出滤波电感L1和L2,功率开关管S1-S4,滤波电容C1和C2,续流二极管D1-D4,以及负载电阻R。通过滑模控制,使输出电容电压K和K随参考电压的变化而变化,从而使两个Boost变换器各产生一个有相同直流偏置的正弦波输出电压,并且V1和V2在相位上互差180度。获得的输出电压为V0 = V1-V2,是一个正弦电压。
3,Buck-Boost型DC/AC逆变器。基本原理为上述两种结构的中和,这里就不做太多解释了。
现状和发展:
一般认为,DC-AC逆变器的发展可以分为如下两个阶段。
1,1956-1980年为传统发展阶段。这个阶段的特点是:开关器件以低速器件为主,逆变器的开关频率较低,波形改善以多重叠加为主,体积重量较大,逆变效率低。正弦波逆变器开始出现。1960年以后,人们注意到改善逆变器波形的重要性,并开始进行研究。
1963年,F.G.Turnbull提出了“消除特定谐波法”,为后来的优化PWM法奠定了基础,以实现特定的优化目标,如谐波最小、效率最优、转矩脉动最小等。
1980年到现在为高频化新技术阶段。这个阶段的特点是:开关器件以高速器件为主,逆变器的开关频率较高,波形改善以PWM法为主,体积重量较小,逆变效率高。正弦波逆变器技术发展日趋完善。
20世纪70年代后期,可关断晶闸管GTO、电力晶体管GTR及其模块相继实用化。80年代以来,电力电子技术与微电子技术相结合,产生了多种高频化的全控器件,并得到了迅速发展,如功率场效应晶体管Power MOSFET,绝缘门极晶体管IGT或IGST,静电感应晶体管SIT,静电感应晶闸管SITH、场控晶闸管MCT, MOS晶体管MGT、IEGT以及IGCT等。这就使电力电子技术由传统发展时代进入到高频化时代。在这个时代,具有小型化和高性能特点的新逆变技术层出不穷,特别是脉宽调制波形改善技术得到了飞速的发展。
今后,随着工业和科学技术的发展,对电能质量的要求将越来越高,包括市电电网在内的原始电能的质量可能满足不了设备的要求,必须经过电力电子装置变换后才能使用,而DC/AC逆变技术在这种变换中将起到重要的作用。
TCP一定能保证数据不丢失吗?
时间:2026-03-05
与GPS相比,北斗的优势在何处?
时间:2026-03-05
2026年,电信服务器总体市场价值将达到140亿...
时间:2026-03-05
什么是第三代光分配网络(ODN)?常见PON网元...
时间:2026-03-05
无人化应用场景定位技术试验系统建设与测试
时间:2026-03-05
打击低轨卫星星座的方法有哪些
时间:2026-03-05
龙城牌仿自然风落地扇电路图
时间:2026-03-05
绿风牌KYT3-30C转页扇电路图
时间:2026-03-05
绿风牌KYT3-30D转页扇电路图
时间:2026-03-05
绿环FS40型遥控落地扇电路图
时间:2026-03-05
瞬间抑制二极管(TVS)/瞬间抑制二极管(TVS)是...
时间:2026-03-04
什么是霍尔传感器
时间:2026-03-05
半导体材料的主要种类有哪些?
时间:2026-03-04
高级封装,高级封装是什么意思
时间:2026-03-04
数字比较器,数字比较器是什么意思
时间:2026-03-04
常用整流二极管型号大全
时间:2026-03-04
S/HS固态继电器原理简介
时间:2026-03-04
稳压二极管的选用和代换
时间:2026-03-04
TVS器件的电特性有哪些
时间:2026-03-04
TVS二极管的分类/应用,TVS二极管的特点/选用...
时间:2026-03-04