程控增益放大部分电路

为了改变放大器的增益,一般有两条途径:一是改变反相端 的输入电阻阻值,二是改变负反馈电阻阻值。通过设计一个电阻网络和开关来实现这种功能。
方案一:采用模拟开关或继电器作为开关,构成梯形电阻网络,由单片机控制继电 器或模拟开关的通断,从而改变电压增益。此方案的优点在于继电器的导通电阻小,断开电阻大,损耗较少,且有很好的隔离作用。但缺点是电阻网络的匹配难以实现,且占用体积大,速度较慢。因此,给调试工作将带来很大的困难。
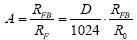
方案二:为了解决电阻网络的匹配问题,考虑能否利用集成的高精度电阻网络。鉴于D/A转换器能把数字量变为模拟量,它的内部结构一般是电阻R-2R梯形网络,并集成有多路模拟开关。因此,我们采取了与常规D/A变换不同的用法,巧妙地反向利用D/A转换器的内部电阻网络实现此功能。又考虑到AD7520是一种廉价型的10位D/A转换芯片,由CMOS电流开关和梯形电阻网络构成,结构简单,通用性好,配置灵活,其内部电阻网络由薄膜电阻构成,激光修正,相对于继电器和模拟开关等设计电阻网络而言,具有精确度高、体积小、控制方便、外围布线简化等特点。因此,最后采用方案二来实现程控电压增益。其等效电路图为图3。由数字量控制的R-2R梯形网络在反馈回路上等效为输入电阻Rpo。从参考电压VR流经梯形网络至IOUT1端的电流IF'和没有分流电阻R0时的电流,I(IOUT1)相比,其关系为,IF’=(D/1024)×I,故RF=(1024/D)×R0。因此,这种程控增益放大器的增益A为


通过调节RFB的值,可使上表的对应关系得以满足。
相关热词:#增益
诺基亚贝尔与中国联通携手利用4G LTE网络为...
时间:2026-03-05
我国移动宽带IPv6普及率仅为6.16%网络改造对...
时间:2026-03-05
ICT融合的大趋势下电信运营商积极拥抱开源开...
时间:2026-03-05
中国联通与爱立信达成战略合作将全力支持中...
时间:2026-03-05
小米的下一站将是突破AI+IoT的未来风口
时间:2026-03-05
OTA测试在5G时代将会被大规模使用智能设备也...
时间:2026-03-05
美国运营商AT&T并不希望5G手机太快的问...
时间:2026-03-05
中国移动发布了以1+4为核心的工业互联网平台...
时间:2026-03-05
浅谈集中器主要功能
时间:2026-03-05
电信业务固定通信业务收入占比持续提升累计...
时间:2026-03-05
彩灯电路
时间:2026-03-05
三相异步电动机原理
时间:2026-03-04
转角测量电路
时间:2026-03-05
经典的正弦波发生电路
时间:2026-03-05
电度表的工作原理
时间:2026-03-04
电动机单线远程正反转控制电路图
时间:2026-03-04
三相异步电动机的拆装详讲
时间:2026-03-04
三相异步电动机的七种调速方式
时间:2026-03-04
USB转232电路图
时间:2026-03-04
半球牌调温电炉电路图
时间:2026-03-04