同步电动机的电压方程式和相量图
说明:
为了分析方便,假设电动机主磁路未饱和,认为磁路是线性的,且只考虑定、转子的基波磁势。由于同步电动机能量交换是在定子侧,所以将定子称为电枢,定子绕组称为电枢绕组。
分析:
当同步电动机的电枢绕组通入三相对称交流电后,就会产生以同步转速n1旋转的三相合成基波电枢磁势Fa。当同步电动机稳定运行时,转子也以同步转速n1旋转,在励磁绕组中通入直流励磁电流If,使转子形成固定磁极,励磁电流产生励磁磁势F0,励磁磁势F0与电枢磁势Fa同速同方向旋转,彼此在空间是相对静止的,这样在电机的主磁路上有两个磁势,它们相互叠加,形成了合成磁场。
电枢反应
在电机的主磁路上有两个磁势,它们相互叠加,形成了合成磁场。我们把电枢磁场对主磁场的影响称为电枢反应。
电枢反应:指电枢磁场对主磁场的影响。
1、隐极同步电动机电压方程式和相量图
气隙中的合成磁势为:

合成磁势、主磁势和电枢磁势分别切割电枢绕组,则在电枢绕组上分别产生感应电势为:


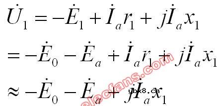
电枢一相绕组的电压方程式

式中r1为电枢绕组电阻,一般同步电动机容量都较大,电阻r1很小,常忽略;x1为电枢漏电抗。
化简
仿变压器或异步电动机中使用的将漏电抗电势写成漏阻抗压降的方法,也可将电枢磁势Fa产生的电枢电势Ea写成电抗压降的形式,则有


式中xc=x1+xa 为隐极同步电动机的同步电抗。
隐极同步电动机等值电路和相量图

分析
从相量图中可见,定子电流I1超前电源电压U1,它可通过调节直流励磁电流使同步电动机工作在这种状态,目的是使同步电动机在拖动负载的同时,对电网呈容性,起电容补偿作用,以提高电网的功率因数。
2、凸极同步电动机电压方程式和相量图凸极同步电动机转子有明显的磁极,气隙不均匀,转子磁极中心线附近气隙最小,磁阻最小,磁导最大;而在转子磁极几何中心线处气隙最大,磁阻最大,磁导最小,所以磁通所走的路径不同,所遇的磁阻不同,对应的电抗参数也就不同。
凸极同步电动机电枢反应磁势

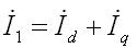
为了解决电枢磁势Fa在不同位置时遇到不同气隙,其磁阻计算困难的问题,可将电枢磁势分解成两个分量:一个分量是直轴电枢磁势,用Fad表示,它作用在直轴方向;另一个分量是交轴电枢磁势,用Faq表示,它作用在交轴方向,则有:


电磁关系:根据“双反应法”,凸极同步电动机电磁关系如下:

电枢磁势
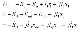
直轴电枢磁势Fad和交轴电枢磁势Faq在气隙圆周上同样以同步转速n1旋转,它们切割定子绕组在其上产生的感应电势Ead和Eaq,正是电枢磁势Fa在定子绕组上产生的感应电势Ea的两个分量,所以有:Ea=Eaq+Ead
式中Ead称为直轴电枢反应电势,其对应的电抗是xad;Eaq称为交轴电枢反应电势;其对应的电抗是xaq。这里xad和xaq分别是直轴电枢反应电抗分别和交轴电枢反应电抗,若不考虑磁路饱和的影响,xad和xaq都是常数。
凸极同步电动机的电压方程式

直轴和交轴电流分量为(见向量图)

凸极同步电动机相量图(a)

凸极同步电动机相量图(b)

更详细的介绍和说明请查看:同步电动机PPT (Synchronous Machines)
相关热词:
wifi6是什么意思_wifi6如何设置
时间:2026-03-05
基站天线辐射垂直安全距离_基站天线设置
时间:2026-03-05
RS232/RS422/RS485通信接口区别
时间:2026-03-05
TCP一定能保证数据不丢失吗?
时间:2026-03-05
与GPS相比,北斗的优势在何处?
时间:2026-03-05
2026年,电信服务器总体市场价值将达到140亿...
时间:2026-03-05
什么是第三代光分配网络(ODN)?常见PON网元...
时间:2026-03-05
无人化应用场景定位技术试验系统建设与测试
时间:2026-03-05
打击低轨卫星星座的方法有哪些
时间:2026-03-05
龙城牌仿自然风落地扇电路图
时间:2026-03-05
彩灯电路
时间:2026-03-05
三相异步电动机原理
时间:2026-03-04
转角测量电路
时间:2026-03-05
经典的正弦波发生电路
时间:2026-03-05
电度表的工作原理
时间:2026-03-04
电动机单线远程正反转控制电路图
时间:2026-03-04
三相异步电动机的拆装详讲
时间:2026-03-04
三相异步电动机的七种调速方式
时间:2026-03-04
USB转232电路图
时间:2026-03-04
半球牌调温电炉电路图
时间:2026-03-04