变压器的轻微匝间故障保护分析
摘要 首先对一次110 kV/10 kV,31 500 kV.A变压器的轻微匝间故障进行了分析,继而导出对变压器轻微匝间短路的实用计算方法。最后根据轻微故障的特点提出对变压器比率差动继电器通用特性选择的建议,供同仁参考。
Transformer Protection for Low Percentage Interturn Faults
Zhu Shengshi
(Nanjing Automation Research Institute,210003,Nanjing,China)
Abstract The analysis of an interturn fault about one percentage turns is introduced and a calculating formula for estimating the interturn fault current of the transformer is derived.According to the calculation result and features of low percentage interturn fault,the general characteristic selection for percentage differential relay of transformer is suggested.
Keywords Transformer,Interturn faults,differential protection
1 变压器的轻微匝间短路故障实例及分析
1997年5月6日开封滨河变一台110 kV/10 kV,31 500 kV*A变压器发生事故,变压器差动保护正确动作跳闸,瓦斯保护未动作。
事故后对变压器进行各种外部试验都未能发现故障。内部检查为高压侧A相匝间短路,被短路的匝数约占全部绕组的1%。这次事故是典型的轻微匝间故障,对此有深入分析研究的必要。
图1是该事故的故障录波图,其显示高压侧三相电压和低压侧电流都没有明显的变化。打印报告显示故障前高压侧负荷电流二次值为2.04 A,CT变比为300/5,所以约为0.74In。故障后三相电流的基波值分别为IA=5.27 A,IB=2.27 A和IC=3.83 A,变压器高压侧中性点未接地,故3I0=0。

图1 开封滨河变1997年5月6日
高压A相匝间短路录波图
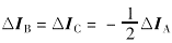
事故前功率因数较高,假设cos?φ=0.9,从录波图上量出?φ=28°,说明假设合理。由于高压侧中性点未接地,A相匝间短路引起的故障分量电流ΔIA只能由B,C相流回,因此有




图2 根据录波图作出的三相电流的相量图
这次事故至少引发出以下三个问题,值得我们思考。
(1) 差动保护能够保护轻微匝间故障。长期以来在我国广泛应用由速饱和变流器供电的机械型差动继电器。其有两大缺点:最小启动电流必需大于1.5In才能保证避开励磁涌流,因而对轻微匝间短路不灵敏;当短路电流中有直流分量时动作速度变慢,越是加强速饱和变流器的作用带来的延时越长。若故障靠它切除变压器烧损得十分严重。若有很好的涌流闭锁元件,差动继电器就可以灵敏地、快速地动作,把变压器故障烧损的程度限制到最小,开封滨河变的事故已证明了这种可能性。
(2) 轻微匝间短路时保护能测量到的最小差动电流有多大?轻微匝间短路时测量到的差动电流肯定比在变压器低压侧引线上短路时小得多。错误地用后者作为校验差动保护灵敏度的标准也是造成差动保护不能在匝间故障时起保护作用的原因之一。开封滨河变事故时的故障电流水平有无普遍意义?轻微匝间短路时的最小差动电流如何确定?这些问题需研究解决。
(3) 如何选择制动特性。轻微匝间短路时,一方面故障电流小保护的差动电流就小;另一方面三相电压正常,可继续送出满负荷电流。负荷电流是穿越性的,将产生制动作用,于是很自然要问在此制动作用下,继电器能否动作?我们应当选择什么样的制动特性?
以下对差动继电器能否在轻微匝间短路时起保护作用的问题进行进一步分析。
2 变压器匝间故障的计算
变压器绕组的故障都属于匝间短路故障。以Y/△接线的双绕组变压器在高压星形绕组发生匝间短路为例,把短路绕组和高压绕组分离开来(健全相相应的部分也如此),于是故障后的变压器变为一个Y/Y/△接线的三绕组变压器(当然高压绕组的匝数减少了),故障发生在短路绕组一侧的引线上。由此可见匝间短路有多相与单相之分。最常见的尤其是轻微匝间短路都是单相的。为了节省篇幅仅讨论单相匝间短路。
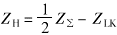
图3示出计算用系统图及在变压器高压绕组发生单相匝间短路的复合序网图,变压器被看成是三绕组变压器,其等值回路是由三个漏抗ZH,ZL,ZK按星形连接的回路。H,L,K分别表示高压侧、低压侧及短路绕组侧。Z1LD和Z2LD为低压侧的正、负序负荷阻抗。高压侧中性点接地时刀闸S闭合,否则S断开。计算的困难在于确定变压器等值回路中的三个漏抗ZH,ZL,和ZK。

图3 单相匝间短路计算用
系统图及复合序网图
变压器绕组的漏抗决定于漏磁通所经路径的磁阻,而漏磁通的路径十分复杂(以下的计算参考文献[2])。但是在故障前的漏抗是已知的,只要分析出短路后各绕组与原绕组的关系就可近似地得到故障后形成的三绕组变压器的各侧漏抗。
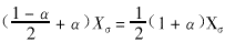
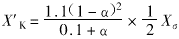
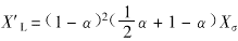
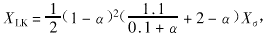
众所周知,对于三绕组变压器通过试验或计算只能依次求得两个绕组之间漏抗,如ZHK,ZHL和ZLK。把它们归算到同一侧如高压侧,那么图3中星形等值回路中的各阻抗为


式中 ZΣ=ZHK+ZHL+ZLK。
从滨河变故障录波分析知道ΔIA落后UA 80°,说明漏抗中有效电阻的成分很小,以下计算中都忽略电阻以漏电抗代替漏阻抗。
为了简单,假设绕组是圆筒形的。圆筒形绕组的漏磁通的路径有效长度决定于绕组的高h和有效厚度d。通常在计算时把厚度折合为高度得到磁路的有效高度或有效长度h′=kh,其中k是折合系数,一般k=1.1。显然k与比值













表1 变压器匝间短路不同α值下的等值回路参数
| α | 0.01 | 0.025 | 0.05 | 0.1 | 0.2 | 0.5 |
|
2.17 | 1.67 | 1.11 | 0.67 | 0.42 | 0.25 |
|
-1.18 | -0.69 | -0.16 | -0.22 | 0.35 | 0.17 |
|
7.05 | 5.81 | 4.35 | 2.77 | 1.4 | 0.25 |
| 由表1可见在α<0.2时都有(XH+XK)/Xα>1。在这些匝间短路时的短路电流都将小于在低压侧引线上短路时的电流。差动保护绝对不能用后者校验保护的灵敏度。 从表1还可以看出α越小XHK=XH+XK越大。 由于计算依据的主要参数——故障变压器的漏抗和负荷阻抗都是近似,所以没有必要作严格的计算。由图3可见系统供电到P1点后分为两个支路。一是经低压侧漏抗向负载Z?1LD供电,另一是经短路绕组漏抗向零序、负序网供电。这两个支路的阻抗角相差很大,并联计算很烦。粗略分析认为它们分别独自存在,即分别计算负荷状态和空载时的故障状态。前一种状态下得到穿越性的负荷电流,后一种状态下0,1,2三个序网串联,串联的总阻抗约为3(ZH+ZK)。差动保护测量的是两相电流之差,不反应I0,不论变压器中性点是否接地都有I1=I2,不考虑I0有IA=2I1,IB=IC=-I1。由此得I?AB=I?CA=3I1,IBC=0。由于正常时两相电流差是相电流的
表2 不同Xσ值下差电流的标么值 |
| Xσ | 0.08 | 0.11 | 0.14 | |
| Id* | α=0.01 | 0.78 | 0.56 | 0.45 |
| α=0.025 | 0.96 | 0.70 | 0.55 |
| 滨河变高压线组共约30层,一层中约3/10匝短路。计算时认为短路绕组的高度降低为原绕组的α倍,厚度不变,当然有误差。滨河变在故障时Id*=1.25In,表2计算为Id*=0.78In,可见计算结果有误差。 根据以上估算在校验变压器对轻微匝间短路的灵敏度时可取穿越性电流为In,差电流为0.5In,并认为两者相位相同。 3 比率差动继电器动作特性的选择
图4 二种折线型比率差动继电器的动作特性 制动电流Ires的取法很多,但共同之处是都认为在外部短路时Ires等于或正比于(一般为2倍)穿越性电流。实际不同取法并无重大差异。对于双绕组变压器,应用最广范的是取Id=|I1+I2|和Ires=|(I1-I2)/2|。I1和I2是变压器两侧的电流,以流入变压器为正方向。 表3 制动特性为Id>mIres时δ和m的对照 |
| m=kres | 0.20 | 0.30 | 0.40 | 0.50 | 0.66 |
|
0.18 | 0.26 | 0.33 | 0.40 | 0.50 |
| 现在根据轻微匝间短路的要求选择图4中的动作特性。首先由于轻微匝间短路的最小故障电流可能为0.5In,因此选择I0=0.3In是适合的。如果采用浮动门槛技术则可进一步提高灵敏度。再考虑在轻微匝间短路时可能送出满负荷电流,即I1=1.5In,I2=In,则有Ires=1.25In,所以应使轻微匝间短路时的工作点P(1.25In,0.5In)落在动作区。如果采用图4(a)的特性应取m≤0.4,由表3可知允许的误差δ≤0.33。如果选用图4(b)的特性拐点D,最好在Ires=1.25In的地方,这样在轻微匝间短路时没有制动作用,得到最大的灵敏度。 按照文献1的观点,图4(b)中直线DE的斜率m=1。现在拐点D的横坐标Ires=1.25In,DE的直线方程为Id-Ires+0.95In≥0。分析外部短路时允许的误差只要将Id=I1-I2和Ires=0.5(I1+I2)代入,可得I1-3I2+1.9In≥0。于是可求得在不同I1值下允许的I2的最小值,进而求出最大的允许误差δ=(I1-I2)/I1,示于表4。 表4 通用比率制动特性在外部短路时允许的误差 |
| I1/In | 1.5 | 2 | 3 | 4 | 5 | 10 | 15 | 20 |
| δ | 0.244 | 0.350 | 0.455 | 0.508 | 0.540 | 0.603 | 0.624 | 0.635 |
| 显然图4(b)的特性比图4(a)优越。比率差动继电器采用这样的特性和整定值可以适用于任何系统中的任何变压器,所以称为通用特性。 突变量差动继电器保护轻微匝间短路有显著的优点。在突变量差动继电器中差动电流和制动电流都是突变量,即ΔId和ΔIres。轻微匝间短路时流过的穿越性负荷电流分量不会反映到ΔIres中去,因而提高了灵敏度。其比率制动判据可采取图4(a)的特性。在正常时Id=0,差动电流本身就是故障分量,但动作电流仍然要用突变量ΔId,否则在外部短路尚未被切除前ΔIres已消失而差动不平衡电流Id却仍然存在,将失去选择性。在外部故障发生时ΔIres应在ΔId之后消失。有关问题在文献[1]中已阐述,这里不再赘述。 顺便指出,按本文提出的要求,标积制动原理并无优点可言。 4 有关灵敏度的几个问题 ①作者在文献[1]中认为:由于故障处的电弧电阻限制了短路电流导致ΔIA和UA基本同相是不正确的。 |
相关热词:#变压器的轻微匝间故障 #电子电路图
一文简析变压器原理及接线组别
时间:2026-03-06
电脑辐射消除器
时间:2026-03-06
液晶显示器的液晶板类型
时间:2026-03-06
液晶显示器的屏幕尺寸
时间:2026-03-06
液晶显示器的接口类型
时间:2026-03-06
液晶显示器的灰阶响应时间
时间:2026-03-06
液晶显示器点距
时间:2026-03-06
液晶显示器的亮度
时间:2026-03-06
液晶显示器色彩数
时间:2026-03-06
液晶显示器的对比度
时间:2026-03-06
玻璃釉电容器的结构与特点
时间:2026-03-05
关于STM32WL LSE 添加反馈电阻后无法起振的...
时间:2026-03-05
电阻的标称阻值和允许偏差
时间:2026-03-05
使用过滤器电容器和诱导器来抑制受辐射的EM...
时间:2026-03-05
瓷片电容的意义以及电容抗扰电路设计与分析
时间:2026-03-05
电容电感区别在哪里?特性差异是什么?可编...
时间:2026-03-05
浅谈高压贴片电容分类与性能参数
时间:2026-03-05
聚四氟乙烯电容器的结构与特点
时间:2026-03-05
漆膜电容器的结构与特点
时间:2026-03-05
复合介质电容器的结构与特点
时间:2026-03-05